5
svar
92
visningar
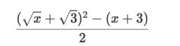
Lös ekvationen

Lösning:
Finns det något annat knep för att effektivisera lösandet?
Hjälp tas tacksamt emot!
Hej.
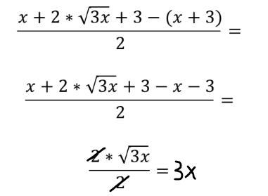
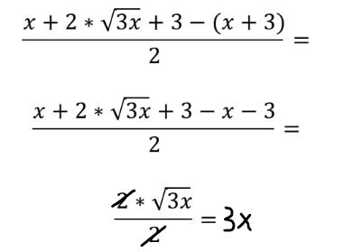
Det du skriver är ett uttryck, inte en ekvation.
Uttrycket ska förenklas och jag tycker att din början är utmärkt.
Fortsätt på samma väg.

Uttrycket motsvarar 3x.
För till sist får du

och du får du bort konstanterna och x-termen. Kvar blir 
nuur06 skrev:
Uttrycket motsvarar 3x.
Nästan rätt. Det som blir kvar är
Givetvis. Det är ju det enda som är kvar efter divisionen.
Stryk konstanterna och det som är kvar är
