27 svar
256 visningar
Päivi behöver inte mer hjälp
Päivi 5547 – Avstängd
Postad: 14 nov 2017 05:51 Redigerad: 14 nov 2017 07:23

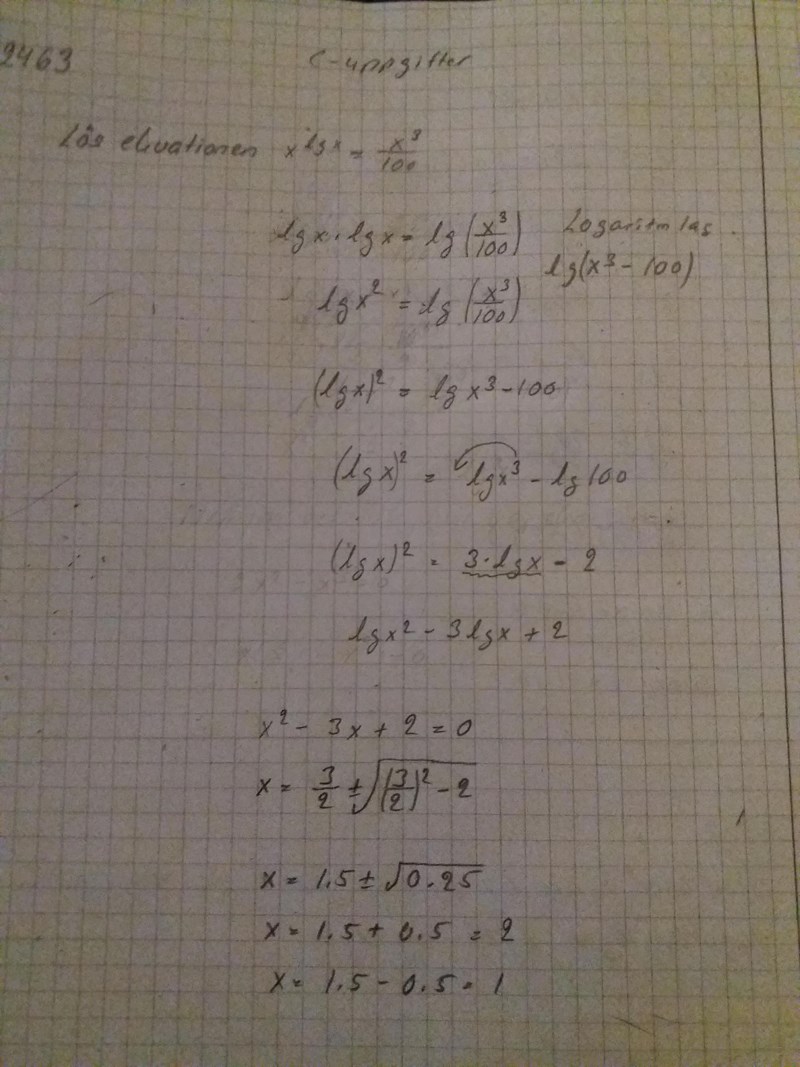
Lös ekvationen

Yngve Online 42965
Postad: 14 nov 2017 07:31

Hej Päivi.

Multiplicera med 100.

Dividera med x^(lg(x)).

Förenkla.

Logaritmera.

Använd en logaritmlag.

Substituera sedan lg(x) mot en annan variabel så kommer du att känna igen en välbekant struktur.

Päivi 5547 – Avstängd
Postad: 14 nov 2017 08:03

Yngve Online 42965
Postad: 14 nov 2017 08:15 Redigerad: 14 nov 2017 08:18
Päivi skrev :

Bra Päivi! Jag tänkte på ett annat sätt men jag kom fram till samma resultat, nämligen en andragradsekvation med rötter 1 och 2.

Men du är inte klar än. Du borde ha gjort en tydlig variabelsubstitution typ t = lg(x) så att andragradsekvationen är i t och får lösningarna t = 1 och t = 2. Sen kan du substituera tillbaka till x och skutligen kontrollera dina lösningar i ursprungsekvationen.

-------------

OBS - du har gjort en lång rad felskrivningar i din uträkning men det kan vi ta senare.

Bubo 8226
Postad: 14 nov 2017 08:20 Redigerad: 14 nov 2017 08:25

Du har rätt princip, men jag vill ge ett par anmärkningar:Var tydlig med vad du tar logaritmen av. Nu ser det ut som om du blandar lg(x^2) och (lg(x))^2.. Med parenteser blir det tydligt.

 

Ibland är det svårt att se skillnad på dina minustecken och likamedtecken.

På något ställe byter du från att skriva en ekvation till att skriva ett uttryck (som du nog menar ska vara noll). Så kan man inte göra.

Substituera till en ny variabel. Ändra inte betydelsen av x.

Det är ett slarvfel i andragradsekvationen.

EDIT Andragradaren är rätt. Feltänkt av mig.

Päivi 5547 – Avstängd
Postad: 14 nov 2017 08:39

Bubo 8226
Postad: 14 nov 2017 08:44 Redigerad: 14 nov 2017 08:44

Vilken fråga är det du svarar på? Stämmer det här?

Päivi 5547 – Avstängd
Postad: 14 nov 2017 08:56

Detta är inte kontrollerat 

Päivi 5547 – Avstängd
Postad: 14 nov 2017 09:28 Redigerad: 14 nov 2017 09:31

Jag klarar inte av rätta detta ännu. Jag fick de lösningarna av ekvationen. Glömde skriva t= 2 och t = 1

Behöver mera hjälp

Albiki 5096 – Fd. Medlem
Postad: 14 nov 2017 10:01

Hej Päivi!

Innan du ger dig i kast med att finna ekvationens lösningar ska du fundera över vilka tal x x som kan komma i fråga.

Eftersom funktionen lg \lg är definierad för strikt positiva reella tal så måste det gälla att x>0 x>0 .

Med hjälp av en logaritmlag kan ekvationen skrivas

    (lgx)2=3lgx-lg102 (\lg x)^2 = 3\lg x - \lg 10^2 .

Inför beteckningen t=lgx t= \lg x för att få andragradsekvationen

    t2-3t+2=0. t^2 - 3t + 2=0.

Med en kvadratkomplettering kan ekvationen skrivas (t-1.5)2-0.25=0. (t-1.5)^2 -0.25=0. Eftersom 52=25 5^2 = 25 så kan man använda Konjugatregeln för att skriva ekvationen som

    {(t-1.5)-0.5}{(t-1.5)+0.5}=0, \{(t-1.5)-0.5\}\{(t-1.5)+0.5\} = 0,

vilken är samma sak som ekvationen (t-2)(t-1)=0 (t-2)(t-1)=0 . Du ser nu att de två talen t=1 t = 1 och t=2 t=2 har denna egenskap, vilka motsvarar talen x=10 x=10 och x=100. x= 100. Eftersom båda dessa tal är strikt positiva så kan du dra slutsatsen att den ursprungliga ekvationen har de två lösningarna 100 100 och 100. 100.

Albiki

Päivi 5547 – Avstängd
Postad: 14 nov 2017 10:07

Det är x = 2 och x = 1

Albiki 5096 – Fd. Medlem
Postad: 14 nov 2017 10:16
Päivi skrev :

Det är x = 2 och x = 1

Talen 1 1 och 2 2 är inte lösningar till den ursprungliga ekvationen.

Päivi 5547 – Avstängd
Postad: 14 nov 2017 10:21

Det är 100 och 10

10^1 = 10

10^2= 100

Yngve Online 42965
Postad: 14 nov 2017 10:29 Redigerad: 14 nov 2017 10:29
Päivi skrev :

Det är 100 och 10

10^1 = 10

10^2= 100

Bra. Kontrollera nu att båda dessa värden på x gör att ursprungsekvationen stämmer.

Päivi 5547 – Avstängd
Postad: 14 nov 2017 10:34

Ursprungs ekvationen där det står log, klarar jag inte av det. 

Päivi 5547 – Avstängd
Postad: 14 nov 2017 10:36

10^x = lg 10

nu snurrar jag nog till här. 

Behöver mera hjälp. 

Yngve Online 42965
Postad: 14 nov 2017 10:46 Redigerad: 14 nov 2017 10:48
Päivi skrev :

10^x = lg 10

nu snurrar jag nog till här. 

Behöver mera hjälp. 

VL: Om x = 10 så är lg(x) = lg(10) och x^(lg(x)) = 10^(lg(10)).

HL: Om x = 10 så är x^3 = 10^3 och x^3/100 = 10^3/100.

Nu gäller det att lg(10) = 1 per definition. Sätt in det i uttrycket för VL och kontrollera att VL = HL.

-----

Gör sedan samma sak med x = 100

Päivi 5547 – Avstängd
Postad: 14 nov 2017 10:56 Redigerad: 14 nov 2017 10:58

10 stämmer. Det måste vara så med 100 också, men det stämmer. 

Bubo 8226
Postad: 14 nov 2017 12:26
Albiki skrev :
Päivi skrev :

Det är x = 2 och x = 1

Talen 1 1 och 2 2 är inte lösningar till den ursprungliga ekvationen.

Jag undrade vilken fråga det gällde, av just den här anledningen. Svaret stämmer inte med ursprungliga frågan. Men det där blev ju rätt till sist även om mitt inlägg aldrig blev besvarat.

Bubo 8226
Postad: 14 nov 2017 12:27
Päivi skrev :

10 stämmer. Det måste vara så med 100 också, men det stämmer. 

Vad måste vara hur?

Sådana här jättekorta svar går inte att begripa.

Päivi 5547 – Avstängd
Postad: 14 nov 2017 12:38

Jag skriver från telefonen. 

Jag menar att 

Lg x = 1 = 10 ^ 1 = 10 

lg x = 2 = 10 ^2= 100

jag tog lösningarna därifrån. 

Bubo 8226
Postad: 14 nov 2017 12:47
Päivi skrev :

Jag skriver från telefonen. 

Jag menar att 

Lg x = 1 = 10 ^ 1 = 10 

lg x = 2 = 10 ^2= 100

jag tog lösningarna därifrån. 

Du tänker i rätt banor, men du måste vara mycket mer noggrann när du skriver. Ingen kan läsa vad du tänker men alla kan läsa vad du skriver.

Här skrev du att ett är lika med tio och två är lika med hundra. Det menar du ju inte.

Päivi 5547 – Avstängd
Postad: 14 nov 2017 12:53

Det står ju upphöjt. Lg x = 10 ^ menar jag. 

 

Jag vet inte, vad jag ska svara nu. 

Bubo 8226
Postad: 14 nov 2017 13:01

Följande är rätt:

Lg x = 1 

10 ^ 1 = 10 

lg x = 2

10 ^2= 100

 

Följande är fel:

Lg x = 1 = 10 ^ 1 = 10 

lg x = 2 = 10 ^2= 100

Päivi 5547 – Avstängd
Postad: 14 nov 2017 13:02

Jag återkommer ca 1- 1,5 h

Kan hända att jag är tidigare närheten av dator. 

Päivi 5547 – Avstängd
Postad: 14 nov 2017 13:05

Jag måste hämta vissa saker. Jag sticker nu. Jag har ca 300 m dit. Jag har annat ärende också. Jag tippar Max tid att jag är så länge borta. Jag tror att jag är tidigare tillbaka. 

Yngve Online 42965
Postad: 14 nov 2017 13:34
Päivi skrev :

Det står ju upphöjt. Lg x = 10 ^ menar jag. 

 

Jag vet inte, vad jag ska svara nu. 

Du tänker nog rätt men den beskrivningen stämmer inte riktigt.

Det här med logaritmer är lite "bakvänt" och kan vara knepigt att beskriva.

Så här är det:

Tiologaritmen av ett tal x är det tal som 10 ska upphöjas till för att få x. 

Om du ska beskriva det på "mattespråket" så kan du göra det på två sätt som båda säger samma sak.

För alla x > 0 gäller att:

  • Om y = lg(x) så är 10^y = x
  • 10^lg(x) = x
Päivi 5547 – Avstängd
Postad: 14 nov 2017 14:50

Tack så mycket Yngve för detta. 

Svara
Close