3
svar
183
visningar
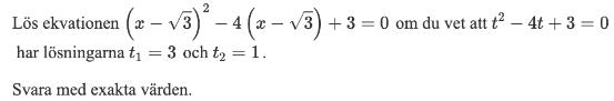
Lös ekvationen



Du kan ju använda rötterna du får i ekvationen innehållande t.
Hej!
Ja, du kan helt enkelt lösa ekvationen i x.
, så du får ekvationen:
Du kan lösa ekvationen med tex PQ-formeln (p= och q=)
Uppgiften serverar dig två färdiga lösningar till ekvationen t2-4t+3 = 0. =m du inser att ekvationen i uppgiften är nästan likadan ser du att vi har två möjligheter, att eller att , så det är väldigt lätt att hitta de båda värdena på x. För säkerhets skull, kolla att du inte har fått med några falska rötter!