7
svar
62
visningar
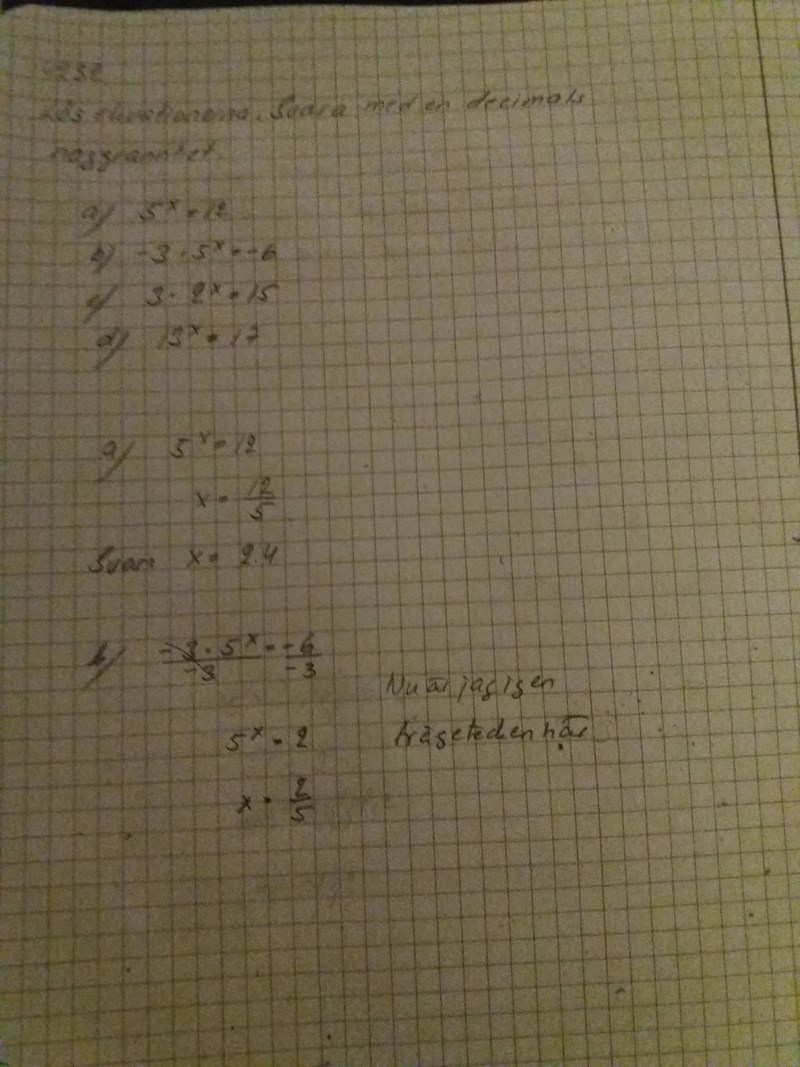
Är det 5x eller 5^x?
Det är 5^ x
Det ska vara ca 2.3 svaret
Päivi skrev :
Du har gjort rätt fram till 5^x = 2.
Logaritmera sedan bägge leden.
Jag är nog bra tokig här. Jag gjorde c uppgift, när jag skulle göra b uppgift. Tittade fel ställe svaret.
Därför blev jag fundersam på det här. Varför får jag fel svar, när jag tycker att jag gör rätt.
Jag fick det bli 0,4 Yngve
X= lg2/ lg 5
x = 0,4
Päivi skrev :Jag är nog bra tokig här. Jag gjorde c uppgift, när jag skulle göra b uppgift. Tittade fel ställe svaret.
Därför blev jag fundersam på det här. Varför får jag fel svar, när jag tycker att jag gör rätt.
Jag fick det bli 0,4 Yngve
X= lg2/ lg 5
x = 0,4
Det är rätt, men det ska stå x är ungefär lika med 0,4.

