4
svar
107
visningar
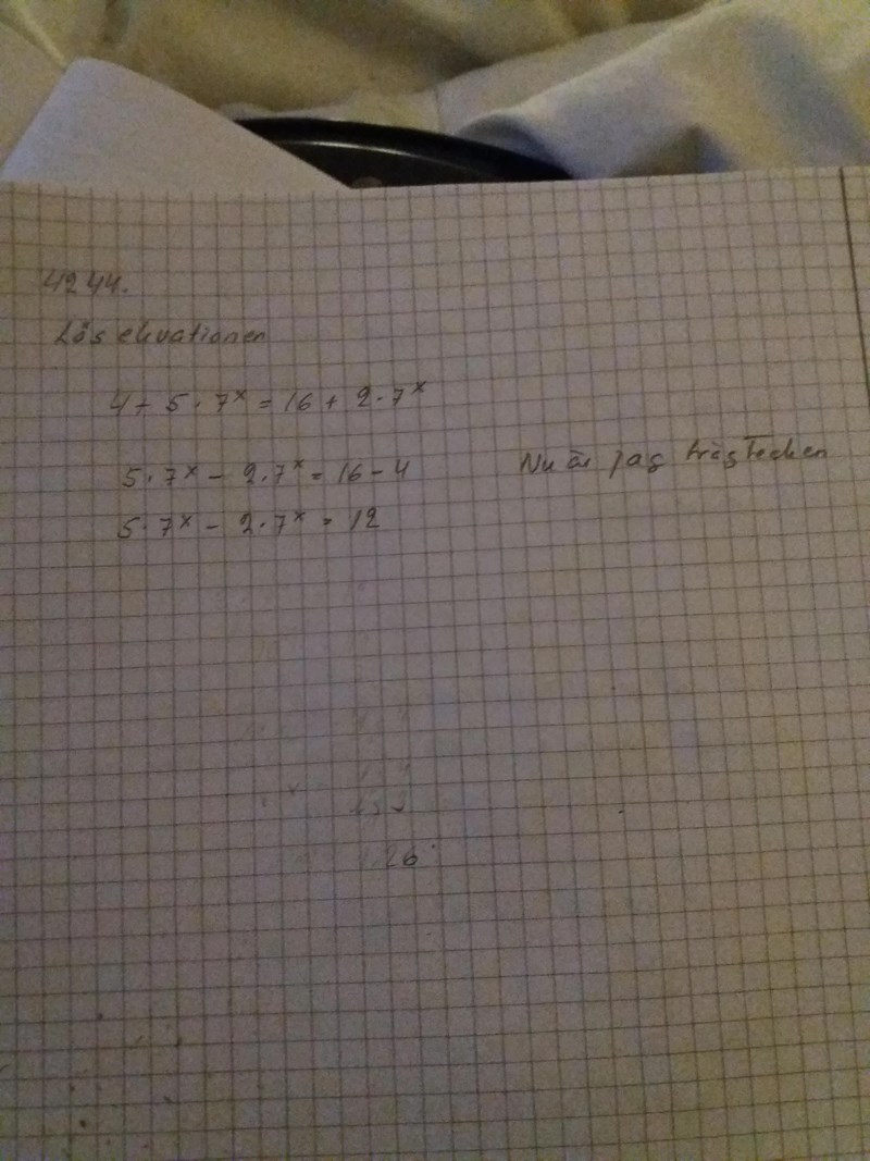
Du e ju nästan där! Försök att förkorta . Hint: bryt ut 7^x
Päivi skrev :
Bra Päivi.
Men du bör svara exakt och inte med ett närmevärde.
Om du ändå vill svara med ett närmevärde får du inte använda likhetstecken utan då måste då använda tecknet ungefär lika med.
Bra att du påpekade mig igen med det. Jag måste lära komma ihåg det.

