60 svar
952 visningar
Päivi behöver inte mer hjälp
Päivi 5547 – Avstängd
Postad: 21 nov 2017 13:34

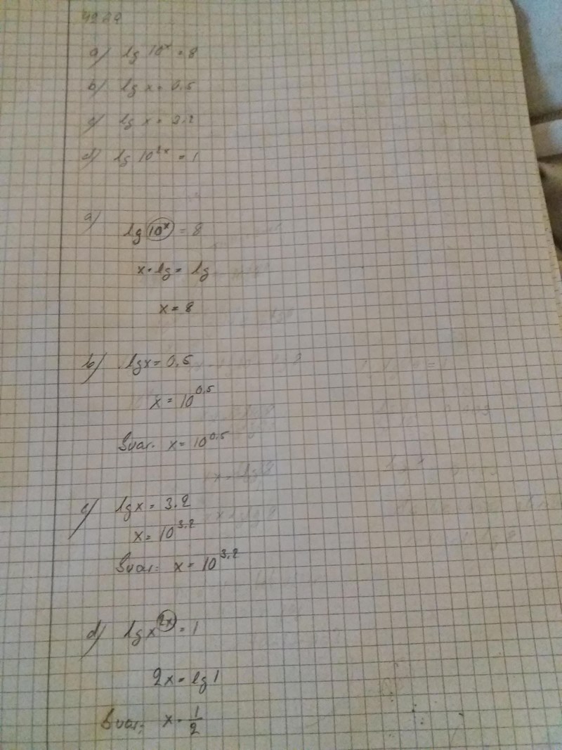
Lös ekvationen

Har tagit fram grafen om logarlogaritmen. Har gjort detta för Yngves skull. 

Ni andra kan besvara min fråga annars. Jag skulle visa en grafrn till Yngve.

Kan man göra så här som jag har gjort?

Taylor 680
Postad: 21 nov 2017 13:47 Redigerad: 21 nov 2017 13:52

> tagit fram grafen om logarlogaritmen funktionen y = 10 ^ x

 

Bra mellan x=0 och x=1. Mindre bra mellan x=-1.5 och x=-0.5.

 

10 ^ (-1) = 0.1 || inte 0.06

jonis10 1919
Postad: 21 nov 2017 13:50

Hej

Ja på a) ser det korrekt ut, du behöver inte höja upp det med tio. Utan direkt lösa det som: 

log10x=8x·log10=log8x·1=log8x=log8 (Om jag skriver ut varje steg)

Använder mig av tredje logaritmlagen som säger: log(xp)plog(x)

Päivi 5547 – Avstängd
Postad: 21 nov 2017 13:51

Nu förstår jag inte.

Smaragdalena 78892 – Avstängd
Postad: 21 nov 2017 13:52 Redigerad: 21 nov 2017 13:58

Vad är "flyttar över" för ett konstigt räknesätt? Du har inte gjort samma sak på båda sidor om likhetstecknet.

lg10x=8 \lg 10^x = 8

logaritmlag ger xlg10=8 x \lg 10 = 8

Du vet att lg10=1 \lg 10 = 1 x=8 x = 8 .

Koll: lg108=8 \lg 10^8 = 8 - det stämmer!

Yngve Online 42864
Postad: 21 nov 2017 13:56
Päivi skrev :

Har tagit fram grafen om logarlogaritmen. Har gjort detta för Yngves skull. 

Ni andra kan besvara min fråga annars. Jag skulle visa en grafrn till Yngve.

Kan man göra så här som jag har gjort?

Den här grafen visar grafen till y=10x y=10^x .

Kan du även grovt skissa grafen till y=lg(x) y=lg(x) ?

Päivi 5547 – Avstängd
Postad: 21 nov 2017 13:56
Smaragdalena skrev :

Vad är "flyttar över" för ett konstigt räknesätt? Du har inte gjort samma sak på båda sidor om likhetstecknet.

lg10x=8 \lg 10^x = 8

logaritmlag ger xlg10=8 x \lg 10 = 8

Du vet att lg10=1 \lg 10 = 1 så $$x = 8.

Koll: lg108=8 \lg 10^8 = 8 - det stämmer!

Nu har du igen fått något konstigt i ditt, Magdalena!

Päivi 5547 – Avstängd
Postad: 21 nov 2017 13:59
Yngve skrev :
Päivi skrev :

Har tagit fram grafen om logarlogaritmen. Har gjort detta för Yngves skull. 

Ni andra kan besvara min fråga annars. Jag skulle visa en grafrn till Yngve.

Kan man göra så här som jag har gjort?

Den här grafen visar grafen till y=10x y=10^x .

Kan du även grovt skissa grafen till y=lg(x) y=lg(x) ?

Jag ska göra ett försök. Jag har inte sådant papper, Yngve!

Smaragdalena 78892 – Avstängd
Postad: 21 nov 2017 14:02 Redigerad: 21 nov 2017 14:03

Du behöver inte något särskilt papper för att rita upp funktionen y=lg(x) y = \lg (x) . Gör en värdetabell först, eller pricka in det så fort du fått fram värdena, det är en smaksak.

Om du läser mitt förra inlägg igen, så har jag rättat till det, så att det ser ut som det skall.

Päivi 5547 – Avstängd
Postad: 21 nov 2017 14:05 Redigerad: 21 nov 2017 14:06

Jag håller på med det här nu. Det kan ta lite tid, men tråden har jag tagit fram för diskussion om logaritmer. 

Päivi 5547 – Avstängd
Postad: 21 nov 2017 14:32 Redigerad: 21 nov 2017 14:35

Jag vet inte, hur man ritar en sådan graf. 

Lg 0,01= -2

lg  0,1 = -1

lg 0= 1

lg 1= 0

lg 10= 1

lg 100= 2

lg 1000=3

lg 10000= 4

ovs.

det blir rät linje. 

Jag vet inte, hur man ritar det här, vilket som ska vara y

Yngve Online 42864
Postad: 21 nov 2017 14:35
Päivi skrev :

Jag håller på med det här nu. Det kan ta lite tid, men tråden har jag tagit fram för diskussion om logaritmer

Ja, och just därför vill jag att du visar att du har förståelse för hur en logaritm-kurva ser ut.

Rita y=lg(x) y=lg(x) grovt.

Välj till exempel x-koordinaterna

x = 0,1

x = 1

x = 2

x = 10

Ta fram motsvarande y-värden och pricka in i ett koordinatsystem.

Sammanbind punkterna med en mjukt böjd kurva (som fortsätter både för lägre och högre x).

Päivi 5547 – Avstängd
Postad: 21 nov 2017 14:56 Redigerad: 21 nov 2017 15:33

Smaragdalena 78892 – Avstängd
Postad: 21 nov 2017 15:04

Det du har ritat nu är funktionen y = x, inte y = lg(x).

Vad är y = lg(x) om x = 0,1? Det är inte 0,1.

Vad är y = lg(x) om x = 1? Det är inte 1.

Vad är y = lg(x) om x = 2? Det är inte 2.

Vad är y = lg(x) om  x = 10? Det är inte 10.

Päivi 5547 – Avstängd
Postad: 21 nov 2017 15:10

Yngve Online 42864
Postad: 21 nov 2017 15:14
Päivi skrev :

Jag vet inte, hur jag ska rita det här.

Du ska göra en liten värdetabell för y=lg(x) y=lg(x)

Använd räknaren och ersätt tabellens lg-uttryck i kolumn 2 med siffror:

x         y

---------------

0,1    lg(0,1)

1        lg(1)

2         lg(2)

10       lg(10)

Visa oss din tabell.

Smaragdalena 78892 – Avstängd
Postad: 21 nov 2017 15:16

Nu konstruerar du ditt eget lin-log-papper, med linjär skala på x-axeln och logaritmisk på y-axeln. Dessutom ritar du funktionen y=10x y = 10^x , inte y=lgx y = \lg x .

Päivi 5547 – Avstängd
Postad: 21 nov 2017 15:40 Redigerad: 21 nov 2017 15:56

Smaragdalena 78892 – Avstängd
Postad: 21 nov 2017 15:44

Du behöver ha ett väldigt brett papper för att kunna rita upp det. Varför följer du inte de råd du har fått?

Taylor 680
Postad: 21 nov 2017 15:46 Redigerad: 21 nov 2017 15:47

Underligt.

lg (1000) = 3 || OK

lg (1000) = 3 = 10^3 || NOT OK

Beräkna:

lg(0) = ??? (tipset: minus oändligt)

lg(0.1) = ???

lg(0.3) = ???

lg(1) = ???

lg(2) = ???

lg(3) = ???

lg(10) = ??? (tipset: kanske 1)

lg(20) = ???

 

x-skalan ska gå från 0 till 20.  y-skalan ska gå från -20 till +20.

Päivi 5547 – Avstängd
Postad: 21 nov 2017 16:06

Lg(1000) .= 3

lg (100)= 2

lg(10) = 1

lg (0)= går inte. 

Lg ( 0,1) = -1

lg( 0,01) = -2

lg (0,001)= -3

Taylor 680
Postad: 21 nov 2017 16:13 Redigerad: 21 nov 2017 16:15

Läs mitt inlägg igen och beräkna det som jag föreslog. Glöm 1000 eller 1/1000. Du kan knappast rita sådana värden. Den nedre bilden "20171121-155535.jpg" är fortfarande totalt fel, även efter raderingen.

Päivi 5547 – Avstängd
Postad: 21 nov 2017 16:14
Smaragdalena skrev :

Du behöver ha ett väldigt brett papper för att kunna rita upp det. Varför följer du inte de råd du har fått?

Jag har liten block som jag brukar kladda i. 

Det är inte lätt veta, hur man ska rita det här. 

Taylor 680
Postad: 21 nov 2017 16:23

> hur man ska rita det här


Igen: x-skalan ska gå från 0 till 20. y-skalan ska gå från -20 till +20.

Päivi 5547 – Avstängd
Postad: 21 nov 2017 16:25

Bubo 8178
Postad: 21 nov 2017 16:28 Redigerad: 21 nov 2017 16:35

Du har fått ungefär samma råd gång på gång, och här kommer det igen:

Beräkna lg(x) för några x-värden och gör en värdetabell. Följande x rekommenderas

 

0.001, 0.1, 1, 2, 3, 5, 7, 10, 12

EDIT Jaha, redan klart. Bra. Ritar du en snygg graf också?

Päivi 5547 – Avstängd
Postad: 21 nov 2017 16:39

Jag försöker med det, men måste titta allting från telefonen siffrorna. Telefonen stänger ju ner.

Bubo 8178
Postad: 21 nov 2017 16:41 Redigerad: 21 nov 2017 16:45

Jag misstänker att du har alla siffror du behöver på ett papper i din närhet... :-)

Allvarligt talat spelar de exakta värdena ingen större roll. Fundera i stället på hur kurvan ser ut och var den skär x-axeln.

Päivi 5547 – Avstängd
Postad: 21 nov 2017 16:57

 Jag har ritat grafen, hade problem få sidan bli ljusare av någon anledning. Ska ta kort nu! 

Bubo 8178
Postad: 21 nov 2017 17:02

tnävlegepS - dav rä x ?

Päivi 5547 – Avstängd
Postad: 21 nov 2017 17:04

Nu förstår jag inte Dig Bubo!

Päivi 5547 – Avstängd
Postad: 21 nov 2017 17:11
Bubo skrev :

tnävlegepS - dav rä x ?

Vad är det för konstigt språk som Du Bubo talar som jag inte mera förstår. 

Stokastisk 3597 – Fd. Medlem
Postad: 21 nov 2017 17:15

Bubo skrev: x är vad - Spegelvänt, men han skrev det baklänges

Titta här Päivi: https://www.desmos.com/calculator/gggcamhd9i, detta är grafen för y=lg(x) y = \lg(x) . Du har varit nära att rita den, då du använda en logaritmisk skala på x-axeln, men det blev ändå inte helt rätt.

Päivi 5547 – Avstängd
Postad: 21 nov 2017 17:19

Nu har jag sett den. 

Yngve Online 42864
Postad: 21 nov 2017 17:50 Redigerad: 21 nov 2017 17:50

Jag ville verkligen att du skulle rita den själv Päivi. Jag tror att det skulle göra det enklare för dig att minnas utseendet och därmed få en bättre förståelse för hur tiologaritmen hänger ihop med - och framför allt skiljer sig - från tiopotensen.

Kan du nu göra en egen grov skiss av utseendet på grafen till y=log(x) y=log(x) ?

Använd då ett koordinatsystem där avstånden på x-axeln är konstant och samma som avstånden på y-axeln.

Skriv även ut vilken koordinataxel som är x och vilken som är y.

Använd endast ett fåtal av de x-värden du har i din stora värdetabell (minns du att jag bad dig göra en liten värdetabell?), förslagsvis

x = 0,1

x = 0,5

x = 1

x = 2 

x = 10

Päivi 5547 – Avstängd
Postad: 21 nov 2017 17:59

Jag ska fixa det här, Yngve!

Guggle 1364
Postad: 21 nov 2017 18:05 Redigerad: 21 nov 2017 18:06

 Hej Päivi,

Så här skulle jag göra för att skissa upp y=log(x) y=\log(x)

Först gör jag en värdetabell. Jag väljer några värden på x.

Eftersom det verkar vara stor skillnad mellan olika y-värden när x är litet väljer jag ett tätare intervall nära x=0.

För lite större x händer inte så mycket med y, därför väljer jag ett större avstånd mellan x-värdena.

Sedan markerar jag mina punkter med ett kryss i ett koordinatsystem.

Slutligen drar jag en mjuk kurva mellan punkterna. Observera att det inte är tal om någon rät linje!

Yngve Online 42864
Postad: 21 nov 2017 18:15

Hej Päivi. Även om både Stokastisk och nu även Guggle har visat dig hur grafen till y=log(x) y=log(x) ser ut så vill jag ändå att du även skissar den själv.

Jag är nämligen övertygad om att det kommer att göra det enklare för dig att minnas utseendet och därmed få en bättre förståelse för hur tiologaritmen hänger ihop med - och framför allt skiljer sig - från tiopotensen.

Bubo 8178
Postad: 21 nov 2017 19:13 Redigerad: 21 nov 2017 19:16

Ser du att kurvan du ritade är en spegelbild av den riktiga kurvan? Du bytte plats på x- och y-axel.

Då blev din graf det som kallas inversen till funktionen. Du ritade y=10^x.

Nja, ungefär spegelbild. Om man ritar på en glasskiva kan man i alla fall snurra runt glasskivan så att man ser den ena eller den andra kurvan.

Päivi 5547 – Avstängd
Postad: 22 nov 2017 04:09

Yngve Online 42864
Postad: 22 nov 2017 08:55

Ja! Bra Päivi! Nu ser kurvan bra ut.

Du tog inte med punkten (1; 0) i värdetabellen men jag ser att du har prickat in den i diagrammet.

Att log(1) = 0 är en bra hållpunkt när man ska skissa logaritmkurvor.

Med hjälp av grafen, kan du nu säga vad funktionen f(x)=log(x) f(x)=log(x) har för definitionsmängd och värdemängd?

Päivi 5547 – Avstängd
Postad: 22 nov 2017 09:09

Defitions mängd på x. Alla positiva värden som är större än noll. Kurvan når inte till origo. 

Värdemängd 

negativa värden och postiva värden 

Päivi 5547 – Avstängd
Postad: 22 nov 2017 09:23

Yngve Online 42864
Postad: 22 nov 2017 14:27 Redigerad: 22 nov 2017 16:31

Hej Päivi.

EDIT - Jag läste fel

Ett av dina svar är fel. Kontrollera dina resultat.

Sen bör du skriva tecknet ungefär lika med istället för = på alla ställen där du har tagit fram ett närmevärde.

Päivi 5547 – Avstängd
Postad: 22 nov 2017 15:40

Jag hittar inte den Yngve!

Yngve Online 42864
Postad: 22 nov 2017 16:47
Päivi skrev :

Jag hittar inte den Yngve!

Fel av mig Päivi, jag läste fel på en av uppgifterna.

Alla svar är korrekta förutom att det som sagt ska stå ungefär lika med istället för tecknet = på en del ställen (rödmarkerade).

Men en del av dina uträkningar har felaktiga mellansteg (rödmarkerade).

Päivi 5547 – Avstängd
Postad: 22 nov 2017 17:12

Yngve Online 42864
Postad: 22 nov 2017 17:27 Redigerad: 22 nov 2017 17:29
Päivi skrev :

Jag antar att lg är tiologaritmen.

Ersätt lg(10) med ett tal. Använd räknaren om du är osäker på vilket tal det är. Eller titta i din värdetabell ;-)

Päivi 5547 – Avstängd
Postad: 22 nov 2017 17:29

Lg 10= 1

Yngve Online 42864
Postad: 22 nov 2017 17:31
Päivi skrev :

Lg 10= 1

Ja. Hur ser då din ekvation ut?

Päivi 5547 – Avstängd
Postad: 22 nov 2017 17:34

Jag ska ta kort på den. 

2x gånger lg 10= 1

2 gånger  x  gånger lg = 1

x gånger lg. = 1/2

x = 1/2

Yngve Online 42864
Postad: 22 nov 2017 17:43
Päivi skrev :

Jag ska ta kort på den. 

2x gånger lg 10= 1

Ja.

2 gånger  x  gånger lg = 1

Nej. Vad menar du med "lg" utan argument?

x gånger lg. = 1/2

Nej. Vad menar du med "lg" utan argument?

x = 1/2

Ja.

Päivi 5547 – Avstängd
Postad: 22 nov 2017 17:45 Redigerad: 22 nov 2017 17:53

Lg(10) = 1

lg 10^1

jag vet inte , vad jag ska svara. 

Yngve Online 42864
Postad: 22 nov 2017 17:56 Redigerad: 22 nov 2017 19:14
Päivi skrev :

Är det då 

lg(x), Yngve? 

Lg (10) = 1

Ja. Du tänker rätt men du skriver fel.

När du skriver "2 gånger x gånger lg = 1" så saknar det du skriver betydelse. Ser du att vänsterledet innehåller en faktor "lg"?

 lg är ett namn på en funktion och inte ett tal. 

lg(10) är ett tal.

 

Det du skriver är alltså lika tokigt som att skriva 2*cos = x.

cos vad då?

 

Du kan alltså inte utelämna argumentet i dina uträkningar, för då saknar det betydelse.

Päivi 5547 – Avstängd
Postad: 22 nov 2017 22:58

Hur ska jag skriva då om det ska bli rätt. 

Jag somnade här.

Yngve Online 42864
Postad: 22 nov 2017 23:14 Redigerad: 22 nov 2017 23:16
Päivi skrev :

Hur ska jag skriva då om det ska bli rätt. 

Jag somnade här.

Det är mycket lättare än du tror.

lg(102x)=1 lg(10^{2x})=1

Använd logaritmlag lg(ab)=b·lg(a) lg(a^b)=b\cdot lg(a) på VL:

2x·lg(10)=1 2x\cdot lg(10)=1

Eftersom lg(10)=1 lg(10)=1 så kan vi förenkla VL:

2x·1=1 2x\cdot 1=1

2x=1 2x=1

Dividera med 2:

x=12

Päivi 5547 – Avstängd
Postad: 22 nov 2017 23:20

Jag ska multiplicera uttrycket med 1

Yngve Online 42864
Postad: 22 nov 2017 23:25 Redigerad: 22 nov 2017 23:26
Päivi skrev :

Jag ska multiplicera uttrycket med 1

Nu skriver du alldeles för kortfattat igen. Vilket uttryck? Varför?


 Det viktiga är att du förstår uträkningen och att du skulle kunna göra samma sak själv vid ett senare tillfälle. Skulle du kunna det?

Päivi 5547 – Avstängd
Postad: 22 nov 2017 23:32 Redigerad: 22 nov 2017 23:37

Uttrycket som jag nu menar i detta fall . Det står ju 2x lg (10)= 1

lg(10) blir ju 1

Då måste det bli alltså 2x gånger med 1

2x=1

x= 1/2 ska svaret vara. Är du mera nöjd med beskrivningen nu, när jag skrev lite mera, vad jag menar? 

Troligtvis kan jag,bara det blir något av lg. 

Yngve Online 42864
Postad: 22 nov 2017 23:38
Päivi skrev :

Uttrycket som jag nu menar i detta fall . Det står ju 2x lg (10)= 1

lg(10) blir ju 1

Då måste det bli alltså 2x gånger med 1

2x=1

x= 1/2 ska svaret vara. Är du mera nöjd med beskrivningen nu, när jag skrev lite mera, vad jag menar? 

Troligtvis kan jag,bara det blir något av lg. 

Ja som du vet Päivi så är jag ju tyvärr en rysligt dålig tankeläsare.

Men nu är jag mer nöjd med beskrivningen, ja.

B.saher77 1 – Fd. Medlem
Postad: 23 nov 2017 01:56

Du har gjort rätt på a) 

Svara
Close