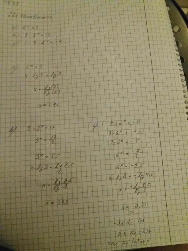
Lös ekvationen
Minus 0.5 är enligt facit fel. Var är felet?
Direkt mellan första raden och andra raden.
Vad har du gjort här och varför?

Jag vet inte. Jag försökte på ett annat sätt också, men det blev lika mycket fel då med.
Skulle du kunna försöka göra en lösning där du skriver ut vilken operation du gör på båda sidorna mellan varje steg?
Exempelvis om man skulle lösa ekvationen
Så skulle man skriva såhär
Subtrahera 3 på båda sidorna
Dividera båda sidorna med 4
Tror du att du skulle kunna göra en sådan lösning där du skriver vad du gör mellan varje rad och du måste göra samma sak på båda sidorna av likhetstecknet?
Jag gjorde detta om här.
Päivi skrev :Jag kan försöka, men det är inget jag är van vid, eftersom jag gör detta på annat sätt.
1-2* 6^x= -4
1-1-2* 6^x=-4-1
-2*6 ^x = -5
6^x= -5/-2
6^x=2,5
x * lg 6= lg 2,5
x =lg2,5/ lg 6
Det blir inte rätt.
Jag vet om att du inte är van vid det, men jag tror att det är väldigt bra övning för dig att göra det, för det känns lite som en akilleshäl för dig då du inte gör samma sak på båda sidorna jämnt.
Även om du inte tycker att det blev rätt så tycker jag att det blev rätt. Det rätta svaret är
Så det där gick ju mycket bättre.
Det sättet är inte jag vän vid. Gjorde prov, men blev fel. Gjorde om det här och nu blev det rätt
Päivi skrev :
Det sättet är inte jag van
vid. Gjorde prov, men blev fel. Gjorde om det här och nu blev det rätt
Yngve skrev :Vad har du gjort här och varför?
Det fattas minus tecknet före 2, Yngve!
Det där ser bra ut, men Yngve skulle säkert kommentera att det ska stå ungefär lika med i slutet och inte lika med. :)
Jag tycker att du ska försöka att alltid använda dig av detta sätt att lösa ekvationer på, det är för att det är mycket mer systematiskt och mycket mindre risk för att man gör massor med konstiga fel.
I första inlägget gjorde du två fel.
Först ett teckenfel, så att du fick fram . Den ekvationen har inga lösningar.
Sedan skrev du att och det stämmer inte. Logaritmen är definierad för positiva tal, inte för negativa.
Detta kanske förklarar att du har fått olika svar.
Ja just det Bubo
Nu ska vi ha en tävling Päivi.
Du får poäng varje gång du korrekt skriver tecknet ungefär lika med när du anger ett närmevärde.
Jag får poäng varje gång du missar det.
- 1 - 0 till Yngve

Ha, ha säger jag här, Yngve!