4 svar
103 visningar
Idabjorkis behöver inte mer hjälp
Idabjorkis 9 – Fd. Medlem
Postad: 17 okt 2021 16:41

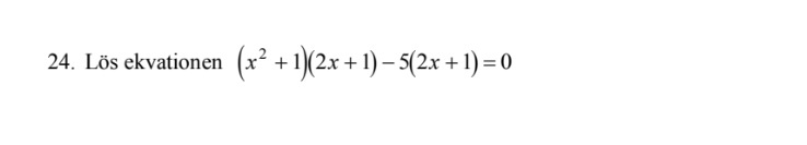
Lös ekvationen - Andragradsekvation

Här är ekvationen:

Får inte in bilden där jag löst den men har försökt att förenkla genom att multiplicera in allt. Fastnat dock och vet inte hur jag ska göra längre :/

Teraeagle 20364 – F.d. Moderator
Postad: 17 okt 2021 16:46

Det är enklare att faktorisera uttrycket så att du får:

(2x+1)(x2+1-5)=0(2x+1)(x^2+1-5)=0

Tillämpa sedan nollproduktmetoden.

Idabjorkis 9 – Fd. Medlem
Postad: 17 okt 2021 17:32

Förstår inte hur man kommer dit :/

Teraeagle 20364 – F.d. Moderator
Postad: 17 okt 2021 17:36

Notera att det som är markerat i rött är en gemensam faktor i både termerna:

(x2+1)(2x+1)-5(2x+1)=0

Den faktorn kan vi bryta ut och skriva:

(2x+1)(x2+1-5)=0

Blir det tydligare då?

Idabjorkis 9 – Fd. Medlem
Postad: 17 okt 2021 17:38

Ja, nu förstod jag! Tack :)

Svara
Close