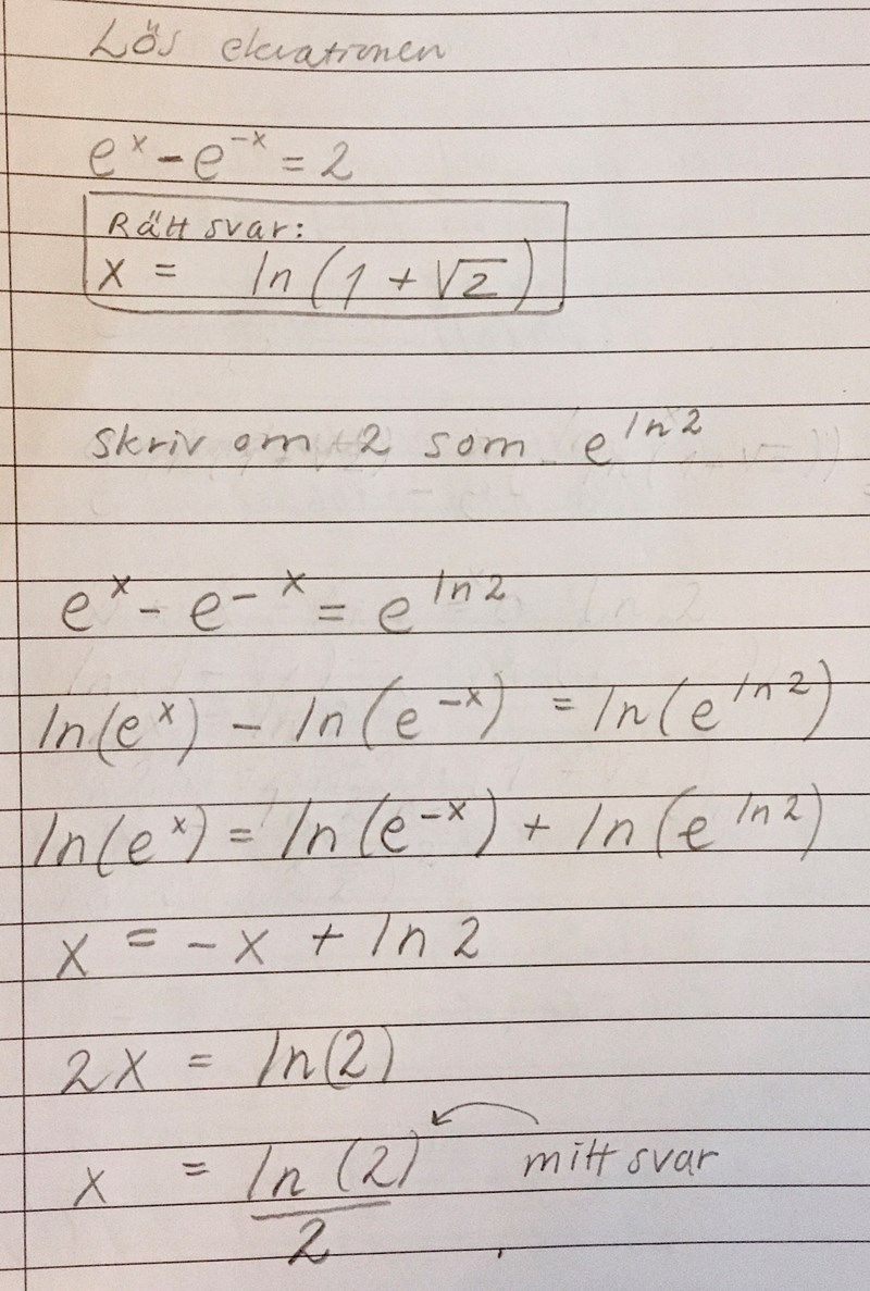
Lös ekvationen e^(x)-e^(-x)=2
Hej!
Jag har löst ekvationen och fått samma värde som det korrekta svaret, men hur gör jag för att komma fram till x=ln(1+sqrt(2)) ?

Att de har samma värde håller jag inte med om.
Hej,
Ekvationen kan skrivas som en andragradsekvation i .
där notera att aldrig är negativ.
Kvadratkomplettering ger ekvationen och Konjugatregeln visar att det enda positiva tal som löser denna ekvation är .
Den ursprungliga ekvationens enda lösning är
Du har gjort fel på rad 2, när du logaritmerar bägge led måste du ta med hela ledet,
dvs ln(ex-e-x) = ln(eln(2))
V
Du kan skriva om ekvationen som t +1/t = 2 och sedan när du fått fram t lösa e^x =t .
Din övergång på rad 2 är inte rätt. Vilka logaritmlagar har du använt där?
Gissa inte !
PS Roligt att du ber om hjälp, men försök lite mer själv nästa gång! Det är ju universitetsnivå!
Du hittar på egna (felaktiga) logaritmregler.
lna - lnb = ln(a/b)
lna - lnb ln(a - b)
Hej,
Det är fel att tro att är samma sak som .
Du behöver lära dig räkneregler för logaritmer ordentligt.
Jag hade nog gjort ett variabelbyte:
Edit: dessutom behöver du inte skriva om 2an till då du ändå logaritmerar i nästa steg.
Tack för alla svar! Ja, jag har gjort fel, det ser jag nu. Jag hade alltför bråttom.
Kanelbullen kan logaritmlagarna och skäms nu, men är tacksam för all input.
Att lösa uppgiften som en andragradsekvation à la Albiki väljer jag gärna som metod.
PS. Det är ln (sqrt(2)) som har samma värde som mitt felaktiga svar. Så det är irrelevant för uppgiften.