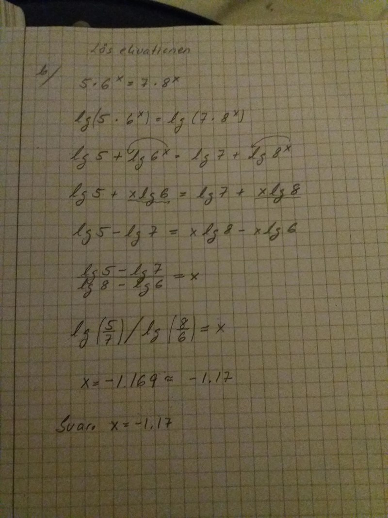
Det ser bra ut, om de dock vill att du ska svara exakt så ska du inte ta fram ett närmevärde till x. Du behöver alltså inte skriva den sista raden "x = -1.169 ...", utan svara bara med att x är lika med kvoten av logaritmer.
Facit säger att även närmevärdet ska vara med
Det kan vara för att ge en uppskattning för läsaren, men står det svara exakt ska ska man oftast ge ett uttryck för x, i det här fallet en kvot av logaritmer. I de fall man inte behöver ge ett uttryck är när x ändå kan skrivas enkelt med ett par decimaler.
Päivi skrev :Facit säger att även närmevärdet ska vara med
Om du även vill ange närmevärde så bör du skriva tydliga "ungefär lika med"-tecken.
Jag, det står exakt men enligt facit finns även närmevärdet med.
En liten men viktig detalj:
Du har enbart givit ett närmevärde i ditt svar. Se alltid till att själva svaret verkligen är det som frågan gäller.
Ja, det ska jag göra Bubo!
1 spampost raderad /moderator
