Lös ekvationen iz^2 + (1+i)z -7 + i4
Hej, som rubriken lyder lös ekvationen iz^2 + (1+i)z -7 + i4
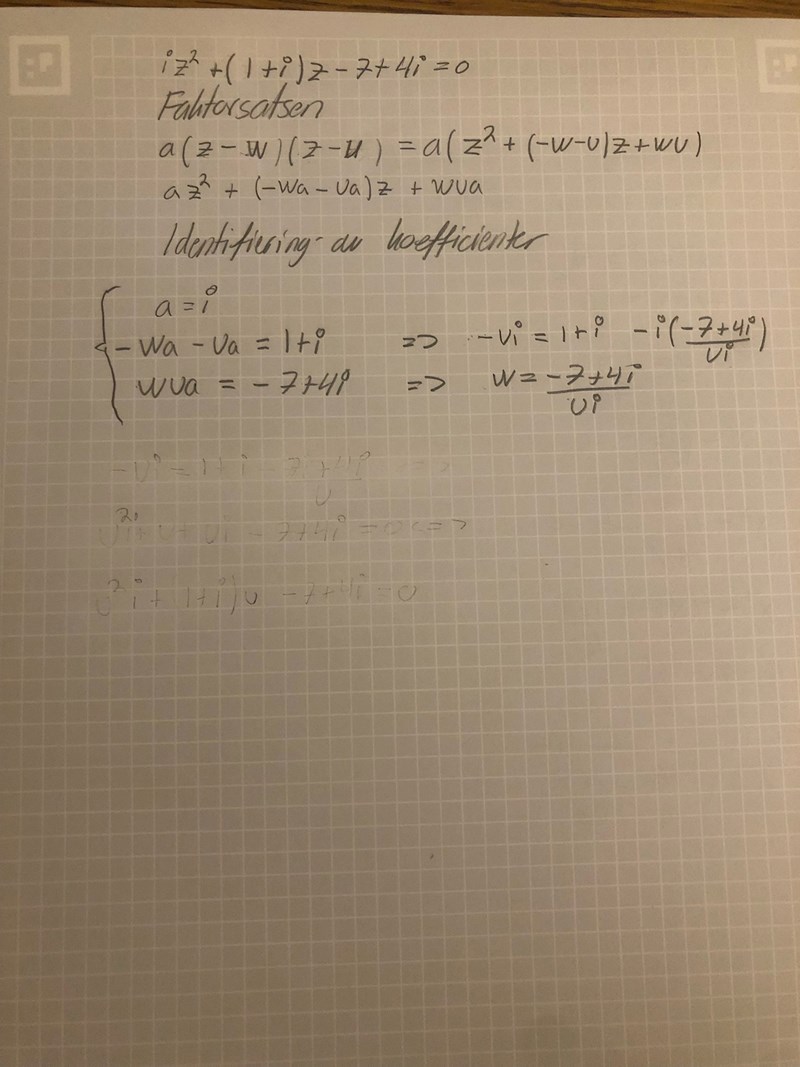
Har försökt en del med faktoruppdelning och kvadratkomplettering påvägen men någonstans så blir det helt fel. Tror mitt störa beskymmer är i:et i början framför z^2. Hade jag annars kunnat kvadratkomplettera och sen lösa ut därifrån?
Har jag tänkt rätt? Kommer lite längre än på bilden, men blir bara kladdigt och fel då jag är osäker om jag ens börjar rätt.
Tack!.jpg?width=800&upscale=false)
Tänkte fel.
börja med att dela med i och rensa sen bort alla i i nämnarna med genom att förlänga med i
dvs
efter ytterligare förenkling kan du antingen kvadratkomplettera eller använda pq formeln för att komma vidare
Tack så hemskt mycket! Gjorde din metod först men blev helt snurrigt då jag inte ändrade på tecknet vid divison av i:et. Flera timmar av klurande av så klumpigt fel. Återigen tack!