4
svar
139
visningar
tahlas05 behöver inte mer hjälp
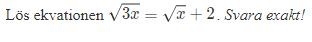
Lös ekvationen och svara exakt
Hej, jag har lite problem med den här uppgiften. Jag skulle uppskatta lite hjälp😊

Så här långt har jag kommit:
Sen vet jag inte vad jag ska göra. Jag försökte att kvadrera båda led men då fick jag det till x=2, vilket är fel.
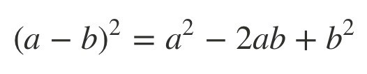
vad får du om du kvadrerar högerledet?
Tänk på att använda kvadreringsregeln på nämnaren!
Ture skrev:vad får du om du kvadrerar högerledet?
Tänk på att använda kvadreringsregeln på nämnaren!
Jag fick det till:
Jag har förmodligen gjort något fel men jag förstår inte vad
Som Ture sa, hur blir det med kvadreringsregeln i nämnaren?

Nu förstår jag!
Tack till er båda🤗