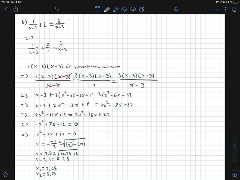
Lös ekvationen, rationellt uttryck
Hej, facit säger att x = 4, och jag fick x = 3,75 och 3,25
Var ligger felen i min lösning?

Det finns en liten smidigare väg att gå
Pröva att multiplicera VL och HL med (x-3) för att få bort den i nämnaren
Kara96 har helt rätt men i dina beräkningar:

Alternativ lösning skulle kunna vara:
Jag insåg att jag för någon konstig anledning hade jag lagt MGN två gånger på varje täljare
Jag tog bort en faktor ur varje täljare och fick rätt på något sätt (TROR JAG, kommer inte exakt ihåg) Jag skrev att MGN var 1(x-3)(x-3) men antagligen får man inte skriva samma faktor mer än en gång, så jag skrev bara 1(x-3)
ChristopherH skrev:Jag insåg att jag för någon konstig anledning hade jag lagt MGN två gånger på varje täljare
Jag tog bort en faktor ur varje täljare och fick rätt på något sätt (TROR JAG, kommer inte exakt ihåg) Jag skrev att MGN var 1(x-3)(x-3) men antagligen får man inte skriva samma faktor mer än en gång, så jag skrev bara 1(x-3)
Du multiplicerade alla termer i ekvationen med produkten av alla nämnare, dvs 1(x-3)(x-3). Det i sig var inte fel. Du får multiplicera ekvationen med vad som helst förutom 0.
Felet du gjorde var att du sedan glömde att förkorta uttrycket I högerledet. Där tog du istället bara bort nämnaren utan att göra något med täljaren.
======
Men jag gissar att det du egentligen var ute efter att göra var att förlänga alla termer med lämpliga faktorer så att alla termer skulle få samma nämnare.
När du förlänger en term så multiplicerar du både täljare och nämnare med samma uttryck.
Läs gärna detta avsnitt om att förkorta och förlängavrationella uttryck (skrolla ner lite).
Fråga sedan oss om allt du behöver få förklarat närmare.
Tack avsnittet hjälpte mig. Men det där med MGN där dem fick (s-2)(s+2) som MGN förstod jag. Men det jag inte förstår är hur det är sammankopplat till hur man får 1/8 + 1/12
som MGN = 24?
ChristopherH skrev:Tack avsnittet hjälpte mig. Men det där med MGN där dem fick (s-2)(s+2) som MGN förstod jag.
Jag ser nu att det var ett dåligt exempel I Matteboken. De skriver att de ska förlänga bråken men istället multiplicerar de alla termer med samma faktorer.
Men det jag inte förstår är hur det är sammankopplat till hur man får 1/8 + 1/12
som MGN = 24?
Det är skillnad på gemensam nämnare och minsta gemensamma nämnare.
Om du har flera bråktal så kan du alltid få fram en gemensam nämnare genom att multiplicera alla nämnare med varandra. Med det du får då är inte nödvändigtvis den minsta gemensamma nämnaren.
Läs detta avsnitt om MGN (scrolla ner en bit) och fråga oss om allt du behöver få förklarat närmare.
Smaragdalena skrev:
Jag har läst lite nu, så enkelt förklarat så har vi använt primtal för 8 och 12 = 2 och 3, och multiplicerat primtal för 12 med andra bråket 1/8?
Tack för att du länkar dessa saker, det hjälper faktiskt
ChristopherH skrev:Smaragdalena skrev:Jag har läst lite nu, så enkelt förklarat så har vi använt primtal för 8 och 12 = 2 och 3, och multiplicerat primtal för 12 med andra bråket 1/8?
Tack för att du länkar dessa saker, det hjälper faktiskt
Det behöver inte vara primtal man förlänger med. Vad blir t ex ?