3
svar
122
visningar
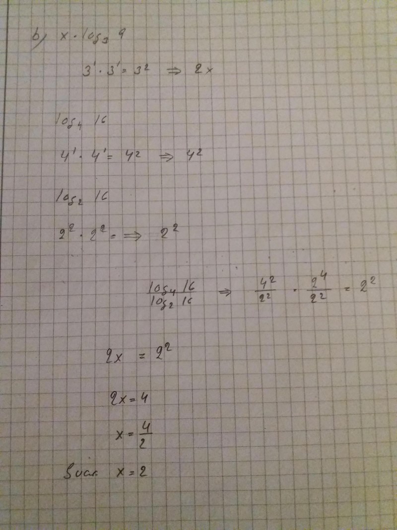
Lös ekvationen, vet inte vad som är fel


är "det tal som man skall höja upp 3 till för att det skall bli 9", alltså 2 (eftersom ). Byt ut mot 2, så får du en lite enklare ekvation. Den biten verkar du ha gjort, men det är lite svårt att tyda vad du menar, eftersom du skriver så lite.
Byt ut och på liknande sätt. Nu har du en mycket enklare ekvation. Lös den. Dessa delar har du inte gjort korrekt. Du har nog tänkt rätt, men inte ända fram. Vad är det 4 är upphöjt till i täljaren? Vad är det 2 är upphöjt till i nämnaren?
Log bas 4 16 4^2.
Log bas 2 16 2^4
Det blir i täljaren 2 och i nämnaren 4 alltså halv.
2x= 1/2
x= 1/4
Korrekt.