2
svar
82
visningar
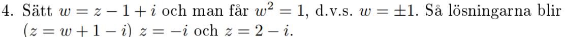
Lös ekvationen z^2-(2-2i)z-1-2i=0
Hej! Jag försöker lösa uppgift 4 men förstår inte hur de kom fram till att man ska sätta en variable w=z-1+i?
Här är fråga:

Här är facit:

Tack på förhand!
De verkar ha gjort kvadratkomplettering, dvs. skrivit z2+pz+q som (z + p/2)2 + nånting.
Det är samma sak som att använda pq-formeln.
Ah okej! Jag försökte använda kvadratkomplettering nu men får inte till det:( ser inte vad jag gör fel?
