4
svar
127
visningar
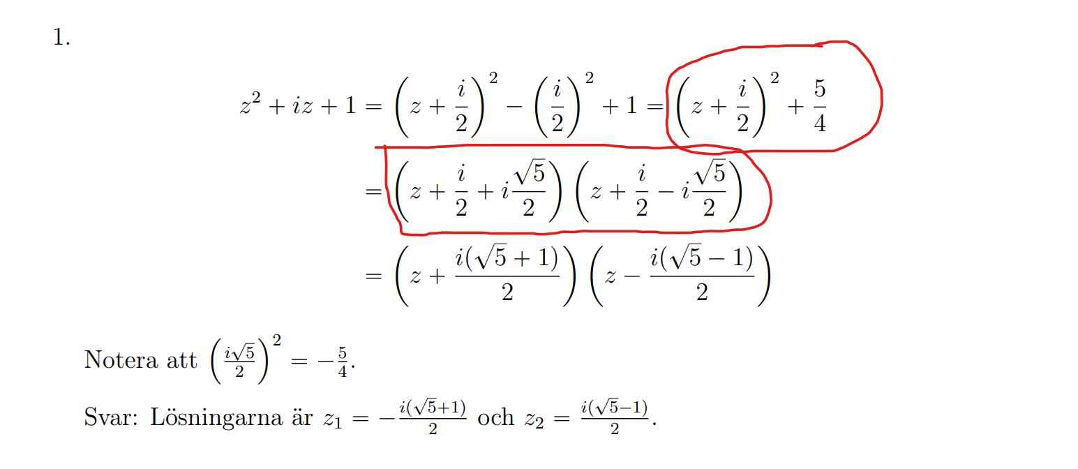
Varför inte pq-formeln?
z= -i/2 +- roten(….)
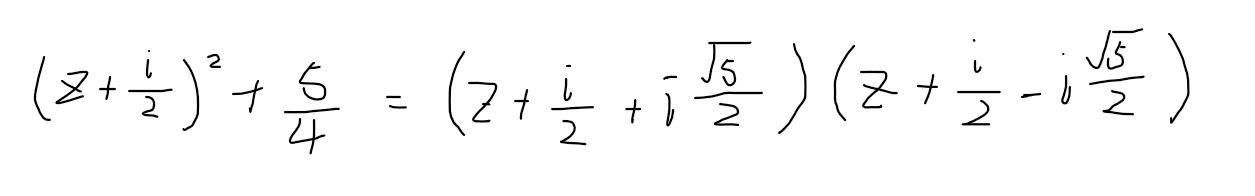
Först gör man om + till - - och sen det ena minuset till i*i så +=-i^2. Sen dra isär med konjugatregeln.
Micimacko skrev:Först gör man om + till - - och sen det ena minuset till i*i så +=-i^2. Sen dra isär med konjugatregeln.
Menar du att omskrivning skedde så här:
Därför får man z1 och z2 enligt facit.
Ja. Nästan alla andragradare löses snyggast med konjugatregeln. 🙂


