3
svar
76
visningar
MK00 behöver inte mer hjälp
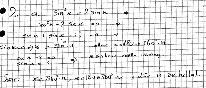
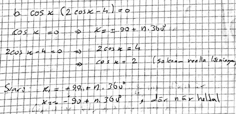
Lös ekvationerna algebraiskt.
Hej,
Jag har löst dessa ekvationer men jag vet inte om jag har löst det helt rätt. 

Det ser bra ut. Går dock att skriva båda svaren lite mer kompakt med perioden 180 grader:
1)
2)
tomast80 skrev :Det ser bra ut. Går dock att skriva båda svaren lite mer kompakt med perioden 180 grader:
1)
2)
Tack för ditt svar. Kan jag bara veta vad du menar med att svaren blir mer kompakt med perioden 180 grader.
Med kompakt menar jag bara att det blir kortare att skriva och enligt mig lite snyggare. Men det andra sättet är ju korrekt också.