11 svar
573 visningar
Natascha behöver inte mer hjälp
Natascha 1262
Postad: 12 sep 2019 21:44 Redigerad: 12 sep 2019 21:46

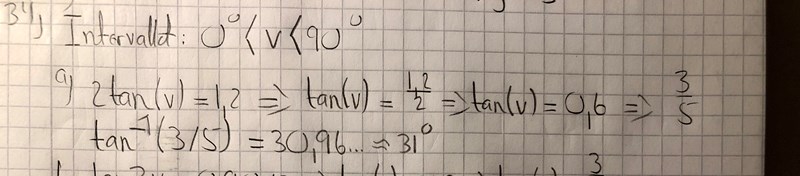
Lös ekvationerna i intervallet: 0<v<90

Hej PA! 

Jag löser min sista uppgift för dagen och fastnar av någon orsak. Uppgiften lyder: Lös ekvationerna i intervallet: 0<v<90 grader. 

A) 2 tan v = 1,2 

Jag löser den genom att dividera VL o HL med 2 och får: tan(v) = 0,6 = 3/5.

För att lösa ut vinkeln för tangens så tar jag grafräknaren och tar inversen för tangens på följande sätt: tan^-1(3/5) = 30,96 ~ 31 grader. 

 

Är detta rätt metod att lösa ekvationen på? Är det meningen att man ska använda grafräknare? Lika mycket undrar jag ifall jag ska ta inversen av tangens? Ska man man inte använda sig av: Tan(v) = sin(v) / cos(v) eller är den bara till användning då jag har en känd punkt på cirkeln? 

Dr. G 9634
Postad: 12 sep 2019 21:50

Du har gjort rätt. Du vinner inget på att skriva om tan(v) = sin(v)/cos(v).

Behöver du ta hänsyn till periodiciteten?

dr_lund 1177 – Fd. Medlem
Postad: 12 sep 2019 21:51

Nja, du måste lägga till en periodisk term:

v=arctan (0.6)+n·π (notera att jag räknar med vinkelmåttet radianer). Du hade ett villkor att v skulle ligga mellan0 och π/2. Fortsätt på egen hand.

Smaragdalena 78892 – Avstängd
Postad: 12 sep 2019 23:08

Man lär sig inte vinkelmåttet radianer förrän i Ma4. Den här frågan är postad i Ma3, så det är bara förvirrande att använda något annat vinkelmått än grader.

Natascha 1262
Postad: 13 sep 2019 06:23

För de två första kommentatörerna som nämner ”periodicitet”, det står inget om det varken i början av kapitlet eller just denna specifika uppgift. Jag ville bara veta ifall jag arbetat rätt för att lösa ut vinkeln för tangens. Blev lite förbryllad. 

Nu är det i alla fall glasklart! 👈👱🏻‍♀️👱🏻‍♀️

Dr. G 9634
Postad: 13 sep 2019 10:02

Angående periodiciteten:

Det finns fler vinklar som uppfyller ekvationen 

tan(v) = 0.6

I ditt fall skulle du hitta lösningarna i intervallet 0° < v < 90°, och där finns bara en lösning (som du har hittat).

Hur skulle du ha gjort om intervallet istället var 

0° < v < 360°

?

Smaragdalena 78892 – Avstängd
Postad: 13 sep 2019 10:45

Är det här verkligen en fråga från Ma3? Det ser ut som en typisk Ma4-uppgift för mig. Vilken mattebok använder du?

Natascha 1262
Postad: 13 sep 2019 11:47
Dr. G skrev:

Angående periodiciteten:

Det finns fler vinklar som uppfyller ekvationen 

tan(v) = 0.6

I ditt fall skulle du hitta lösningarna i intervallet 0° < v < 90°, och där finns bara en lösning (som du har hittat).

Hur skulle du ha gjort om intervallet istället var 

0° < v < 360°

?

Dr.G: ifall jag ska lösa ekvationen i intervallet: 0 < v < 360 grader så jag blivit lite tveksam. Jag vet att cos(v) gäller för x-värden och sin(v) gäller för y-värdena. Vi blev under första lektionstillfället gällande detta område i matematikboken aldrig undervisade när det gäller tangens för vinkeln v. Jag känner igen: tan(v) = sin(v)/cos(v). Det gäller endast då jag har en känd koordinat någonstans på cirkeln. 

 

Jag vet även att för en annan vinkel på sin(v) så kan jag använda: sin(360 - v) = -sin(v) och detsamma gäller cos(v) bara att svaret blir positivt. 

 

För tangens blir jag lite osäker men kan det vara samma metod givet att det gäller i intervallet: 0 < v < 360 grader? Alltså tan (360 - v) ? 

Natascha 1262
Postad: 13 sep 2019 11:48

Jag har Matematik 5000 3bc och Matematik origo 3c. Denna uppgift är från origo 3c 

Smaragdalena 78892 – Avstängd
Postad: 13 sep 2019 12:07

Tangens har perioden 180o.

Natascha 1262
Postad: 13 sep 2019 12:12

Ahaa, då blir det: Tan( 180 - v) för att ta fram värdet på den andra vinkeln? 

Smaragdalena 78892 – Avstängd
Postad: 13 sep 2019 12:32

Nej, det finns bara ett värde som ligger inom det givna intervallet.

Jag tycker att det bästa sättet att tänka sig tangens för en vinkel är att tangens är riktningskoefficienten för vinkelbenet som går ut från origo. Då ser man lätt att t ex vinkeln 20o har samma tangensvärde som vinkeln 200o.

Svara
Close