Lös ekvationssystemet
5218.
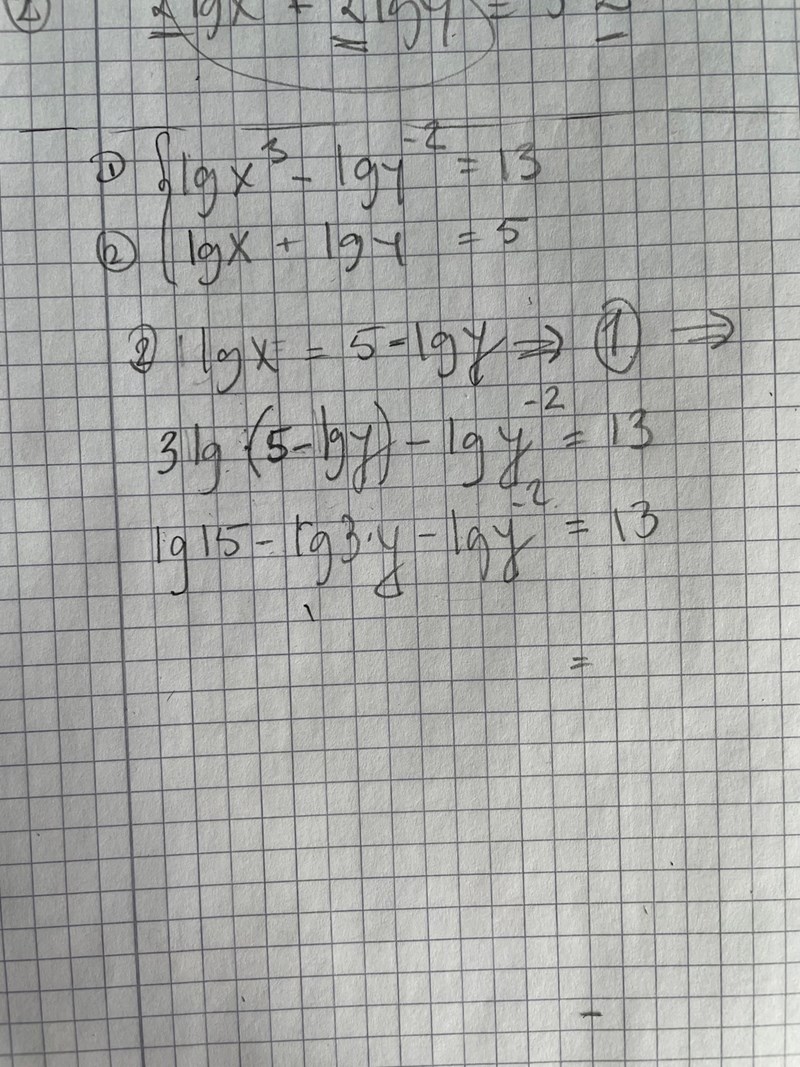
Så här löser jag ekvationssystemet men det är ju på tok fel. Hur gör jag istället?
Du tolkar lg x3 som (lg(x))3 men lg y-2 som lg(y-2).
Ok, jag förstår inte hur uppställningen i så fall skulle vara. Har du möjlighet att utveckla?
Tack på förhand
Antagligen så menas följande:
lg(x3)-lg(y-2) = 13, dvs 3•lg(x)-lg(y-2) = 13
lg(x)+lg(y) = 5
Multiplicera ekvation 2 med 3 och subtrahera ekvation 1 från detta.
Kommer du vidare då?
Ladda gärna upp en bild på uppgiften.
Hej Yngve, tack för svar. Jag ska ta tag i detta imorgon och se om jag kommer vidare. Lite för trött för att tänka just nu.
Hej, hur jag än vrider och vänder på det så f¨år jag inte till det.
Jag trodde jag gjorde enligt substitutionsmetoden men uppenbarligen verkar det ha gått fel redan tidigare.
Någon möjlighet att hjälpa mig vidare?
TAck på förhand
Med Yngves förslag (#4) har vi:
Multiplicera (1) med -1 och (2) med 3 ger:
Addera dessa ger (jag skriver om andra termen)
Logaritmregeln ger
Då kan man genom (2) se att lg(x) = 3, alltså x=1000
Både Sten och Yngve, ni använder additionsmetoden och den har utgått ur kursplanen av nån anledning. Skulle ni kunna visa med substititionsmetoden istället?
Eller någon annan är såklart välkomna
tack på förhand
Trollmoder skrev:Skulle ni kunna visa med substititionsmetoden istället?
lg(x) + lg(y) = 5 ger lg(x) = 5 - lg(y)
Sätt in det i första ekvationen så får du
3•(5 - lg(y)) - lg(y-2) = 13
Kommer du vidare därifrån?
Nej, det här är så himla svårt. Förstår verkligen inte alls logaritmer och hur jag ska flytta exponenten. Sen förstår jag inte hur logaritmlagarna tillämpas. Som synes i mitt försök att lösa uppgiften. Svettigt... Finns det mölighet att få förklaring steg för steg?
Tack på förhand

Det som är lurigt här är att man ska använda både logaritmlagarna och substitutionsmetoden.
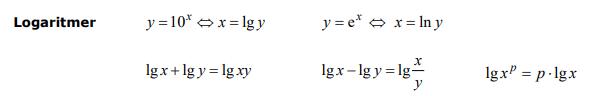
Det här är logaritmlagarna. Den sista säger att p kan vara både en exponent och en term framför lg. Den är användbar i båda ritningarna. (Från vänster till höger, eller från höger till vänster)

Substitutionsmetoden är nog enklare att lära sig om man använder endast x och y och inte blandar in lg. Vi kan titta på sådana exempel på Livehjälp eller i tråden.
Ja, det är lurigt på alla sätt och vis. Jag kopplar upp mig på livehjälpen i eftermiddag så kan vi titta närmare. Kanske förstår jag bättre då. Tack Sten.
Tack, Nu förstår jag.
Gjorde enligt följande:
lgx^3-lgy^-2=13
Lgx+lgy=5
Skriver om ekvation 2 till:
lgy=5-lgx
Skriver om ekvation 1 enligt logaritmlagarna lgx^p= P*lgx----->
3lgx-(-2)*lgy=13 ger
3 lgx+2*(5-lgx)=13 (här ersätter jag lgy i ovan med lgy=5-lgx------>
3lgx+10-2lgx=13
lgx+10=13
lgx=3
10lgx=10^3
x=1000
Sätter in x= 1000 i ekvation 2 ger y=100
Svar X=1000, Y=100 i en klammer eftersom det är ett ekvationssystem
Hoppas det kan hjälpa nån annan som också sliter med logaritmer.
Rätt.
Bra jobbat!
TAck Yngve och Tack Sten, ni är riktiga klippor, så fint att ni finns och vill hjälpa till: