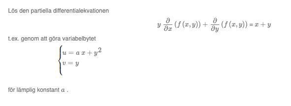
Lös en partiell differentialekvation

Jag har problem med denna uppgiften, och är lite osäker på om jag har tänkt rätt. Såhär har jag gjort:

Uppgiften är till ett övningsquiz, och när jag matar in svaret står det att det är fel (jag har även testat med att addera f(x,y) med konstanten C eftersom jag har integrerat, men ser att jag glömt skriva det på pappret). Vet inte om jag har tänkt rätt över huvud taget, men har försökt göra om uppgiften flera gånger och kommer fram till samma svar.
Kanske har jag missuppfattat någonting? Hjälp uppskattas! Tack :)
Glömde att lägga in denna bilden om hur svaret ska skrivas: 
Är lite osäker på vad som menas med att man ska skriva "en eller flera godtyckliga funktioner som du själv hittar på namn till".
Det får det att kännas som att jag har tänkt fel? Eller vad skulle det kunna innebära...?