3
svar
94
visningar
M (a) * x behöver inte mer hjälp
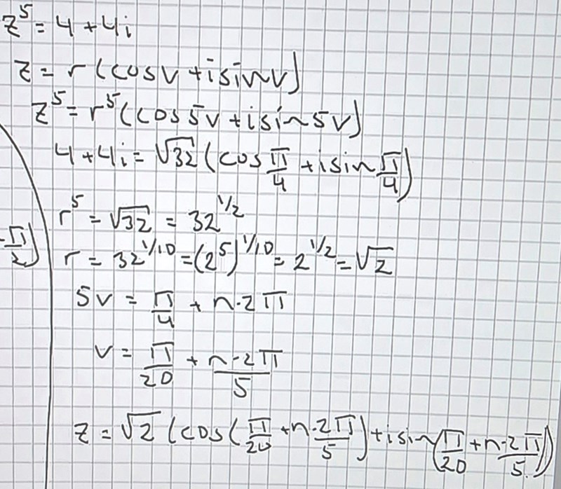
Lös följande ekvationer och rita ut rötterna i talplanet

Är det här är giltigt svar som skulle kunna godkännas på ett prov eller är det viktigt att kunna skriva ut varje k
Som svar på din fråga om k så tycker jag att det vore bra om du skrev att k antar något av värdena 0, 1 eller 2.
Men utöver det så ser jag även ett par brister.
- Du skriver inte tydligt ut själva svaret, dvs vilka värden på z som löser ekvationen.
- Du skriver v3 = pi/2 på rad 3, men det stämmer inte.
- Du skriver 11/3 istället för det enklare 1.
- Du anger inte att k är ett heltal.
(Och så saknar jag såklart även illustrationen av lösningarna)
Snyggt.
Skulle du skissa lösningarna även i denna uppgiften?
