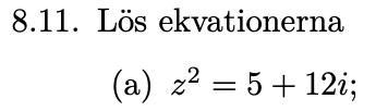
Lös komplex andragradsekvation

Tips på hur jag ska gå till väga för att lösa den här metodiskt och inte experimentellt?
Låt och sätt in. Se var du kommer då.
Skriv 5+12i polärt så är det lätt att hitta z.
Jag tycker din ansats är OK!
Använd den fortsättningsvis, enligt mitt mycket kortfattade tips:

Laguna skrev:Skriv 5+12i polärt så är det lätt att hitta z.
Svårt att skriva det polärt då det är svårt att få fram vinkeln.
dr_lund skrev:Jag tycker din ansats är OK!
Använd den fortsättningsvis, enligt mitt mycket kortfattade tips:
Var fick du ifrån?
Dualitetsförhållandet skrev:Laguna skrev:Skriv 5+12i polärt så är det lätt att hitta z.
Svårt att skriva det polärt då det är svårt att få fram vinkeln.
Ja, det kan du ha rätt i.
När jag försöker skriva det på polär form får jag cos()=5/13
och sin(=12/13
Svårt att räkna ut utan räknare vad vinkeln är då
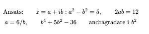
Ett fel är att sambandet (din ekvation 3) inte stämmer.
är ju , inte .
Dualitetsförhållandet skrev:
Var fick du ifrån?
Sätt in i ekvationen och multiplicera med
z2 = 5 +12i
Om du beräknar absolutbeloppet av HL blir det
Vilket alltså är absolutbeloppet av z2
z har därför absolutbeloppet
Därför blir
och om du då lägger ihop ekv 1 och 3 (med rätt värden) från ditt inlägg får du
2a2 = 18 => a= +-3
Att utnyttja metoden med absolutbeloppet underlätter räknandet, men det är väldigt lätt att gå vilse i kvadraterna, här krävs eftertanke varje gång!
Tack, löste den nu
z=3+2i eller z=-3-2i