3
svar
86
visningar
Cajsazachrisson behöver inte mer hjälp
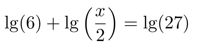
Lös logaritmekvationen

Jag har börjat: 
är Nästa steg att 10 logaritmera?
Cajsazachrisson skrev:är Nästa steg att 10 logaritmera?
Logaritmera ska du inte göra, men väl exponentiera, först är det bra att förenkla 6x/2 så får du 3x
Ekvationen blir då
lg(3x) = lg(27)
(Då kan vi antingen dra slutsatsen direkt att 3x = 27, eller exponentiera bägge led med 10)
Tack nu förstår jag :)