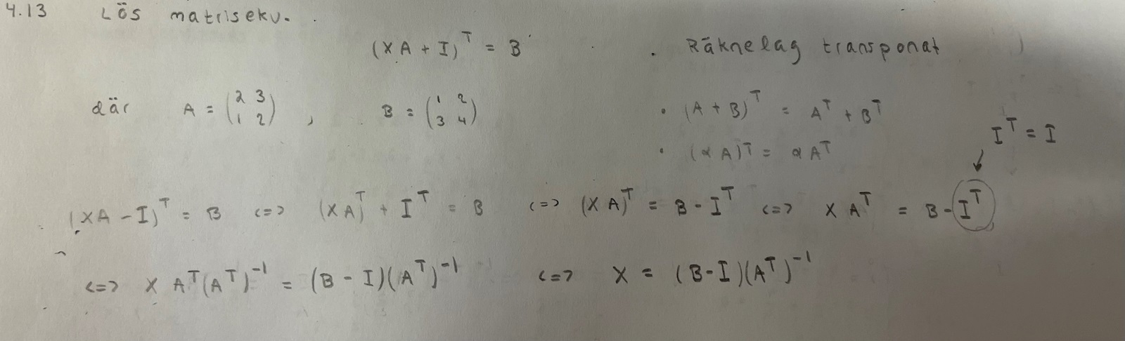
Lös matrisekvation

Jag har försökt lösa denna uppgiften men jag vet inte om mitt tillvägagångssätt är fel eller om jag har gjort ett slarvfel jag inte hittar.

Du skriver så smått så jag ser inte riktigt. Men jag skulle nog börja med att ta bort transponeringen av vänsterledet och transponera B istället. Sedan drar du bort I från båda led.
Därsfter, tyvärr, måste man nog bestämma inversen till A.
Ett alternativt sätt att lösa problemet är att ansätta
X=(2*2, x1, x2, x3, x4)
och sen bara räkna fram värdet av vl och sätta lika med hl.
edit : fast med Mogens tillägg:
XA = B(t) - I
Fast detta har du kanske redan gjort, lite svårt att se.
Jag räknar alltid fel men ungefär såhär

Förstår inte riktigt vad du menar med att transponera B istället men nu har jag skrivit om hur jag gjort tydligare och hade något slarvfel.

Analys skrev:
Juste glömde den räkneregeln. Men borde det inte funka på det sättet jag ställt upp ovan även?
Varför står det - i dinförsta parentes på rad 3?
Analys skrev:Varför står det - i dinförsta parentes på rad 3?
Antar du menar bilden jag skickade i tråden och då skrev jag (XA-I)^T=B
notsogenius skrev:Analys skrev:Varför står det - i dinförsta parentes på rad 3?
Antar du menar bilden jag skickade i tråden och då skrev jag (XA-I)^T=B
Ja!
felskrivet?

