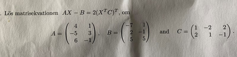
Går det att skriva om på formen
DX = B, för någon matris D?
Det hade säkert gått om jag förstod vad du menade hihi
Använd regeln att (MN)T = NTMT
Men förstår inte hur jag ska få bort 2(X x CT)
amandanilsssson skrev:Men förstår inte hur jag ska få bort 2(X x CT)
Gör som patenteramera föreslår och försök att göra det lugnt och sansat, försök att inte ha panik.
Eftersom så kan du skriva om högerledet i din ekvation som:
.
EDIT: Formelskrivaren verkar dumma sig, så det kanske är lite svårläsligt ovan...
amandanilsssson, det står i Pluggakuen att man skall visa hur man har tänkt, hur man har försökt och hu rlångt man ha rkommit. Det står också att man skall undvika uttryck i stil med "Hjääälp!!!" och liknande barnsligheter. Vi har lite högre förväntningar på dem som postar i Universitets-trådarna. /moderator
