2
svar
80
visningar
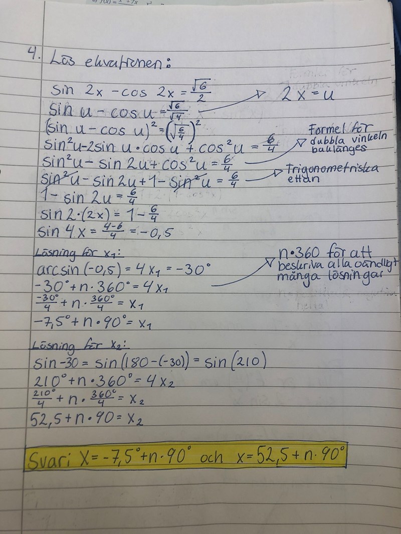
Lös med avseende på x
hej, har en uppgift som jag löst men på miniräknaren när jag kontrollerar grafiskt så stämmer det inte, hjälp? 
52,5 stämmer, men -7,5 ger fel tecken. Det beror på att du har kvadrerat, så du fick med en falsk lösning.
52,5 stämmer, men perioden är fel kolla tex med 52,5+90 så ser du. Och -7,5 är inte bara fel tecken, även 7,5 är fel.
Vilka metoder har du fått lära dig? Är du bekant med hur man skriver om uttryck av typen a*sin(x)+b*cos(x) till c*sin(x+v) med hjälp av en rätvinklig triangel? I så fall skulle jag rekommendera den metoden!