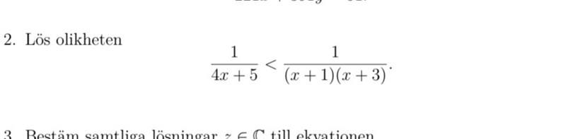
Lös olikheten
Hej!
Jag skulle behöva lite hjälp med denna fråga. Får man flytta nämnaren i HL till vänsterledets täljaren?

Ja, men tänk på att olikheten byter håll om man multiplicerar (eller dividerar) med ett negativt tal. Kolla när nämnarna i VL resp. HL är noll och lös sedan olikheten i olika intervall separat.
tomast80 skrev:Ja, men tänk på att olikheten byter håll om man multiplicerar (eller dividerar) med ett negativt tal. Kolla när nämnarna i VL resp. HL är noll och lös sedan olikheten i olika intervall separat.
Jo jag vet. Men nu är alla termer positiva och då kan jag ju göra som så att jag gör korsmultiplikation dvs (x+1)(x+3)<4x+5 och lösa med teckentabell?
De är inte samtliga positiva om exempelvis.
Teckenbyte sker då:
och
tomast80 skrev:De är inte samtliga positiva om exempelvis.
Teckenbyte sker då:
och
Okej jag kommer få x^2+4x+3-4x-5/(4x+5)<0
Dvs x^2-2/4x+5<0
Jag antar att du nu samlade allt på vänster sida, gjorde liknämnigt och skrev de två termerna på samma bråkstreck?
I så fall är täljaren rätt men inte nämnaren.
(Men du måste sätta parenteser runt både täljare och nämnare, för det du skrev på sista raden betyder )
Yngve skrev:Jag antar att du nu samlade allt på vänster sida, gjorde liknämnigt och skrev de två termerna på samma bråkstreck?
I så fall är täljaren rätt men inte nämnaren.
(Men du måste sätta parenteser runt både täljare och nämnare, för det du skrev på sista raden betyder )
Ja precis. Det blir tydligare om jag visar detta mha en bild. Vi ser att nämnaren är ej definierad för x=-5/4 och i täljaren är det x=-+2. När jag gjorde teckentabell i nästa bild så fick jag dessa tre lösningar.

Det här steget stämmer inte för alla värden på x:

Se svar #2 & #4 från tomast80.
Yngve skrev:Det här steget stämmer inte för alla värden på x:
Se svar #2 & #4 från tomast80.
Varför stämmer det ej? Och varför är det bättre att göra på det här sättet?

Tips: Gör istället så att du subtraherar från båda sidor och sedan gör vänsterledet liknämnigt.
Du kan slutligen utnyttja att en kvot har ett negativt värde då täljare och nämnare har olika tecken.
Yngve skrev:Tips: Gör istället så att du subtraherar från båda sidor och sedan gör vänsterledet liknämnigt.
Du kan slutligen utnyttja att en kvot har ett negativt värde då täljare och nämnare har olika tecken.
Jo men det gjorde jag om du tittar på min uppdaterad bild. Jag förstår bara ej varför man gör på det sättet vilket skiljer sig från hur jag gjorde tidigare i #7. Ja eller så kör man teckentabell bara som ej tar så lång tid?
destiny99 skrev:
Jag förstår bara ej varför man gör på det sättet vilket skiljer sig från hur jag gjorde tidigare i #7.
Är du med på att om man multiplicerar eller dividerar en olikhet med ett negativt tal så måste man vända på olikhetstecknet?
Exempel:
- Olikheten -3x < 5 är, efter division med -3 på båda sidor, samma sak som x > -5/3.
- Olikheten -4 > -x/7 är, efter multiplikation med -7 på båda sidor, samma sak som 28 < x.
===== Om ja, läs vidare =====
I svar #7 så multiplicerade du båda sidor av olikheten dels med (4x+5), dels med (x+1), dels med (x+3).
Om nu x < -3 så är både (x+3), (4x+5) och (x+1) negativa tal. Då multiplicerar du hela olikheten med 3 negativa tal och du måste därför vända på olikhetstecknet 3 gånger.
Om istället -3 < x < -5/4 så är (x+3) ett positivt tal och (4x+5) samt (x+1) negativa tal. Då multiplicerar du hela olikheten med 2 negativa tal och ett positivt tal och du måste därför vända på olikhetstecknet 2 gånger.
Om istället -5/4 < x < -1 så är (x+3) och (4x+5) positiva tal och (x+1) ett negativt tal. Då multiplicerar du hela olikheten med 1 negativt tal och ett positivt tal och du måste därför vända på olikhetstecknet 1 gång.
Om istället x > -1 så är både (x+3), (4x+5) och (x+1) positiva tal. Då multiplicerar du inte olikheten med något negativt tal och du måste därför inte vända på olikhetstecknet alls.
Det här betyder att det inte generellt gäller att rad 2 följer av rad 1 i bilden i svar #8.
Yngve skrev:destiny99 skrev:Jag förstår bara ej varför man gör på det sättet vilket skiljer sig från hur jag gjorde tidigare i #7.
Är du med på att om man multiplicerar eller dividerar en olikhet med ett negativt tal så måste man vända på olikhetstecknet?
Exempel:
- Olikheten -3x < 5 är, efter division med -3 på båda sidor, samma sak som x > -5/3.
- Olikheten -4 > -x/7 är, efter multiplikation med -7 på båda sidor, samma sak som 28 < x.
===== Om ja, läs vidare =====
I svar #7 så multiplicerade du båda sidor av olikheten dels med (4x+5), dels med (x+1), dels med (x+3).
Om nu x < -3 så är både (x+3), (4x+5) och (x+1) negativa tal. Då multiplicerar du hela olikheten med 3 negativa tal och du måste därför vända på olikhetstecknet 3 gånger.
Om istället -3 < x < -5/4 så är (x+3) ett positivt tal och (4x+5) samt (x+1) negativa tal. Då multiplicerar du hela olikheten med 2 negativa tal och ett positivt tal och du måste därför vända på olikhetstecknet 2 gånger.
Om istället -5/4 < x < -1 så är (x+3) och (4x+5) positiva tal och (x+1) ett negativt tal. Då multiplicerar du hela olikheten med 1 negativt tal och ett positivt tal och du måste därför vända på olikhetstecknet 1 gång.
Om istället x > -1 så är både (x+3), (4x+5) och (x+1) positiva tal. Då multiplicerar du inte olikheten med något negativt tal och du måste därför inte vända på olikhetstecknet alls.
Det här betyder att det inte generellt gäller att rad 2 följer av rad 1 i bilden i svar #8.
Aa jag är med. Nu förstår jag! Det var en mycket bra förklaring.