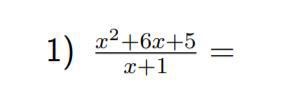
Lös rationellt uttryck med hjälp av ABC-formeln

Hej! Jag har fått i uppgift att lösa detta problemet med hjälp av ABC-formeln. Problemet jag har är att det inte är någon koefficient före x^2. Själva a:et i abc-formeln finns inte med. Prövade att multiplicera hela problemställningen för att få en koefficient, men det gav inte heller en lösning jag kunde använda.
Sedan skal svaret bli X + 5 och jag kan inte se för mig hur det ska gå till.
Det är det första av många sådana uppgifter. Om någon hade kunnat guida mig i hur jag borde tänka så hade det hjälpt mig kommit ur en grop.
Tack!
Om det bara står x2 så är koefficienten 1.
Om du multiplicerade med t.ex. 2 så borde det ha gått bra. Hur gjorde du?
Välkommen till Pluggakuten!
Faktorisera täljaren och försök förkenkla bråket. För att hitta täljarens nollställen kan du använda ABC-formeln.
I ditt fall är då a = 1, b = 6 och c = 5.
Först av allt, stort tack för svar. Då prövar jag en gång till:
Jag multiplicerar allt med 2
Ställer upp täljaren i abc-form
Har jag gjort riktigt så långt? Och i fall jag har gjort det så är jag osäker på hur jag ska återföra detta in i uttrycket igen.
Nej du har inte använt ABC-formeln på rätt sätt. Uttrycket under rotenur-tecknet är inte korrekt.
Det ska vara .
Om du har att , och så får du att uttrycket under rotenur-tecknet ska vara .
Jasså! Det är väldigt bra att veta. Men då är ändå våra slutresultat lika väl?
Hur kan jag återinföra det här i originaluttrycket?
Nej de är inte lika. Fyran står under rotenur-tecknet.
Du får alltså att .
Sedan gäller att om ett polynom har nollställen och så kan det skrivas på faktoriserad form enligt .
Vad är dina och ?
Vad är då och ?
som blir till
Så dividerar jag uppställningen igen och sätter in allt
och kvar blir ju då
Stort tack!