1
svar
169
visningar
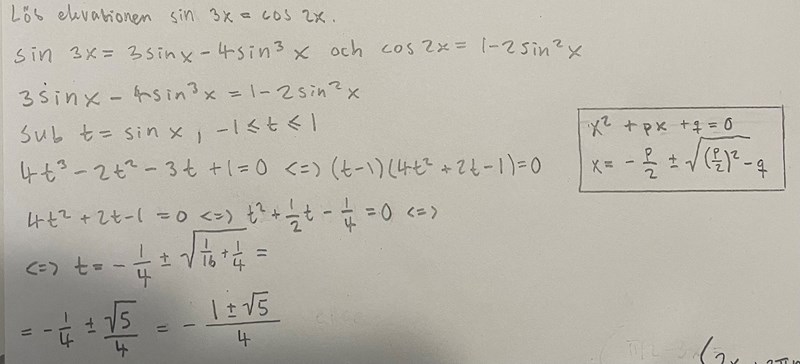
Lös sin 3x = cos 2x
Hej,
Så här långt har jag kommit men jag sitter lite fast. Hur vet jag vad x är då sin x = - (1 +/- sqrt(5))/4? Det känns lite svårt faktiskt.
All hjälp uppskattas

Är enklare att direkt använda sambandet:
...