Lös ut a


Hej!
N/n= roten ur (a+b/a-b).
Vet inte riktigt hur jag kommer vidare.
Den sista raden i din uträkning säger att
Jag håller med om att det borde bli så. Det du vill göra är att i slutändan få ett uttryck som är på formen . Om man i nästa steg gör den här uppdelningen:
Så kanske du vet hur du bör göra för att kasta om variablerna så att alla :na kommer på samma sida om =-tecknet.
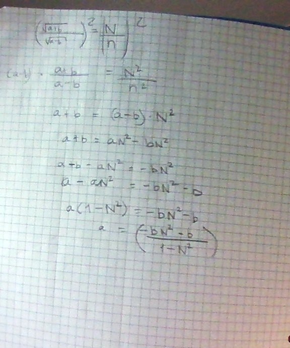
Testade det du sa, men jag har fastnat.
Okej.
Det finns två termer som innehåller faktorn :
&
Dessa befinner sig på olika sidor om =-tecknet. Om du adderar och subtraherar så att de befinner sig på samma sida om =-tecknet och därefter adderar och subtraherar så att termerna som ej innehåller faktorn befinner sig på andra sidan =-tecknet så får du ett bättre uttryck. I detta uttryck kan du sedan bryta ut faktorn och sedan dividera för att få ut ett uttryck för .
Utgå från ekvationen . Vad skall du göra för att få bort termen som innehåller b från vänsterledet? Vad skall du göra för att få bort termen a från högerledet?
Är det rätt?
Du har tänkt rätt i dina uträkningar, men du tappade bort täljaren .
Sedan bör du på andra raden skriva ut att du multiplicerar såväl högerled som vänsterled med . Både för att det är korrekt men också för att jag tror att du inte hade tappat bort täljaren om du hade gjort så.