Varför får jag negativt framför svaret, men i facit är det positivt?
Jag antar att det är x du ska lösa ut? I sådant fall ser det bra ut! :)
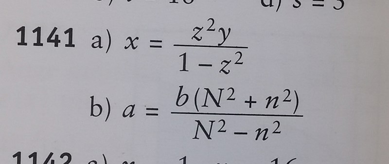
hej,
det är inte så att man delat ut minusteckent i täljaren eller nämnaren bara, Kan du ta bild på facit?
Kan inte förklara men det känns som att de bytt sida på ekvationen
Måste jag börja ekvationen med Z på höger sida kanske?
Varför blev det rätt svar när jag skiftade sidor på ekvationen?
När vet man om det ska vara Z=.... Eller,.... =Z i början av ekvationen?
När man löser en ekvation så skall svaret alltid vara x = ... (eller vad variabeln kan heta). Om man få r-x = ... får man multiplicera med -1 för att få fram rätt svar.
M4t3m4t1k skrev:
Detta är vad du kom fram till från början. Notera att din nämnare är och deras är och det är pga det jag nämnde tidigare, man har delat ut minustecknet i nämnaren.
kan skrivas om till , dvs det är exakt samma sak.
Förstår inte riktigt sista inlägget från dig.
Menar du att det alltid ska bli, X= positivt svar
Och aldrig, X= negativt svar?
Kan du skriva hur du skulle löst ekvationen?
Varför vill man multiplicera med - 1?
Varför räcker inte mitt negativa svar?
För facit vill ju ha positivt svar
M4t3m4t1k skrev:Varför vill man multiplicera med - 1?
Varför räcker inte mitt negativa svar?
För facit vill ju ha positivt svar
M4t3m4t1k, det står i Pluggaktens regler att man skall vänta åtminstone 24 timmar innan man bumpar sin tråd. /moderator
Sorry ska kolla reglerna.
Jag vet inte vad bumpa är?
Det står i reglerna:
Bumpa inte din tråd inom 24 timmar efter att tråden postats, eller inom 24 timmar efter trådens senaste inlägg. Att bumpa innebär att skriva ett inlägg som inte bidrar till tråden, exempelvis "Någon??".
Du upprepade bara det du hade skrivit i ditt förra inlägg, sp det var en typisk bump. /moderator
Ok. Jag förstår. Så hur kan jag kontakta dig privat? Så jag inte bumpa tråden.
Men det jag menade var att jag fick ett negativt svar. I facit står det ett positivt svar.
Och, man kan multiplicera mitt negativa svar med - 1, och få det positiva svaret. För det är samma svar.
Vad jag undrade var mer att varför står inte det negativa svaret i facit? Är det en regel att man ska multiplicera negativa svaret med - 1?
Tänk ifall jag skriver ett prov, och får avdrag i slutändan för att jag inte skrev det positiva talet, utan nöjde mig med minus tecknet framför.
. 🙂
Om facit t ex skriver och du har svarat så är det helt korrekt, men lite krångligare. Om du har svarat så är det sant, men inte rätt svar, eftersom du inte har fått x ensamt på ena sidan.
Ok. Jag förstår. Så hur kan jag kontakta dig privat? Så jag inte bumpa tråden.
Det skall du absolut inte göra. Det stå i Pluggakutens regler att det är förbjudet att skicka tjat-PM till folk för att be dem svara i ens tråd, och alla frågor skall tas i trådarna. /moderator
Ur Pluggakutens regler:
Det är inte tillåtet att posta ett inlägg i en tråd eller skicka PM med uppmaning till andra användare att svara i en viss tråd. Pluggakuten har många hjälpsamma användare, men de väljer själva vilka trådar de vill delta i och gör det i den takt de själva behagar.
(Dessutom är jag ovanligt irriterad på folk som skickar tjat-PM och svarar inte i deras trådar, så länge jag kommer ihåg det.)
M4t3m4t1k skrev:Ok. Jag förstår. Så hur kan jag kontakta dig privat? Så jag inte bumpa tråden.
Men det jag menade var att jag fick ett negativt svar. I facit står det ett positivt svar.
Och, man kan multiplicera mitt negativa svar med - 1, och få det positiva svaret. För det är samma svar.
Vad jag undrade var mer att varför står inte det negativa svaret i facit? Är det en regel att man ska multiplicera negativa svaret med - 1?
Tänk ifall jag skriver ett prov, och får avdrag i slutändan för att jag inte skrev det positiva talet, utan nöjde mig med minus tecknet framför.
. 🙂
Det är samma sak, det enda du gör är att bryta ut ett i nämnaren, och då får du att ditt bråk är eftersom faktorn förenklas till . Notera att eftersom du bryter ut ur nämnaren så byter alla termer i nämnaren tecken. Detta gör man för att det ska se "snyggare ut".
Jag tror inte att du skulle få poängavdrag om du väljer ditt skrivsätt istället för facits, det är mer av en smaksak (även fast facits antagligen skulle uppfattas som mer vanligt och kanske fördelaktigt/enklare), men jag är inte heller en lärare för den delen.


