Nej så kan du inte göra på c-uppgiften.
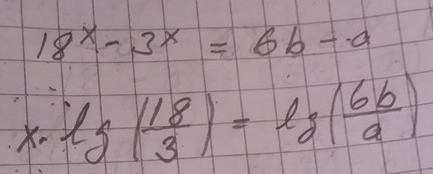
Multiplicera istället in sexan i parentesen i HL, samla alla 3^x på ena sidan och förenkla. Logaritmera.
Jag skulle vilja att du förklarar vilken regel du använde här
1.

2.
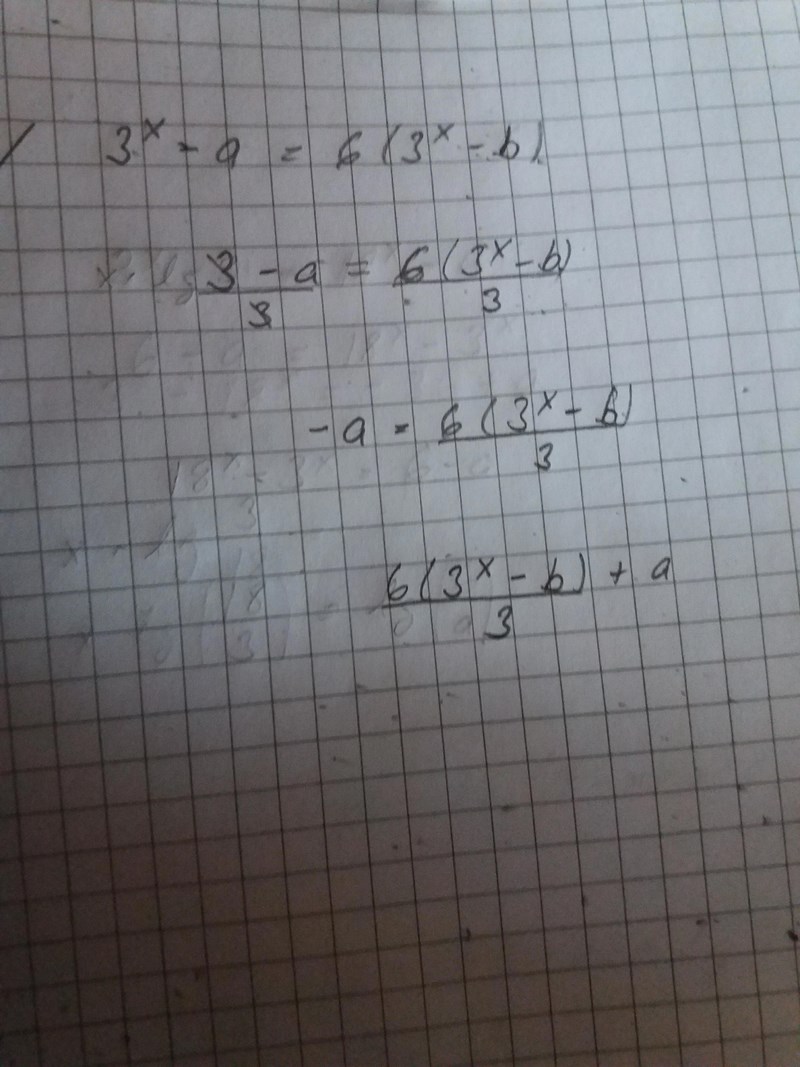
Tror du du kan förklara vilka regler som du använder i dessa två steg?
Minus tecknet betyder att man ska dividera.
a(b-c) = ab -ac. Multiplicerar in i parentesen.
Jag får minus tecknet och enligt logaritmlag ska det divideras, när det är ett minus tecken.
Päivi skrev :Minus tecknet betyder att man ska dividera.
a(b-c) = ab -ac. Multiplicerar in i parentesen.
Jag får minus tecknet och enligt logaritmlag ska det divideras, när det är ett minus tecken.
Skriv ut hur dessa regler ser ut.
Exempelvis i steget jag kallade för 1., vad är ditt a, b och c? Stämmer det att du har använt den regeln, eller har du gjort något mer än att använda den regeln?
Skriv ut den logaritmlagen och försök identifiera om du verkligen kan använda den regeln.
Men vilka konstiga nybörjarfel du gör idag Päivi!
Hur kan du få att bli ?
Du skrev även i början att kan förenklas till .
Såna här enkla fel brukar du inte göra.
Det får mig att fundera på om du är riktigt vaken ännu?
Tror du att du kan förklara vad du gjorde i det där steget Päivi? Vilket regel använde du dig av och går den verkligen använda sig av på det där sättet?
Så länge du själv inte funderar på dessa saker kommer du alltid göra de där misstagen.
Jag tänkte på algebra eller vad det nu kallas för.
Päivi, jag vill starkt rekommendera att du skriver ut alla mellanliggande steg i dina uträkningar.
Då minskar risken att du gör sådana här misstag.
Gör om uträkningen nu och skriv ut alla steg när du löser ekvationen
Algebra är ett helt område inom matematik i princip Päivi. Jag tror du måste försöka ta för mer vana att verkligen verifiera att de regler du tror dig använda verkligen går att använda. Du måste ta mycket mer tid till att verkligen fundera på om du får göra som du gör. Du kommer göra mycket färre uppgifter om du gör så, men du kommer få ut mycket mycket mer av det om du verkligen lägger tid på varje uppgift.
Kort och gott så finns det inget som motiverar det steget du precis gjorde. Du bör börja såhär
Sedan fortsätter du.
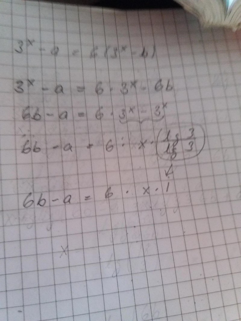
Var får du 5 ifrån?
Vi har sex stycken och subtraherar bort en, då har vi 5 stycken kvar.
Kan du motivera denna likhet:
När du håller på med matematik så ska du känna att du kan motivera alla stegen du gjorde, så kan du motivera detta steg?
Det gäller att
Nej, hur fick du i HL efter att du faktoriserade? Du får väl bara 5, inte .
Sedan hur motiverar du detta steg
Vad är det du gör här?
Nej, (6-1) är inte lika med lg(5).

Stokastisk skrev :
Kan du motivera denna likhet:
6·3x-3x=6·x·lg(3)lg(3) 6\cdot 3^x - 3^x = 6\cdot x \cdot \frac{\lg(3)}{\lg(3)}
När du håller på med matematik så ska du känna att du kan motivera alla stegen du gjorde, så kan du motivera detta steg?
Svar : Det kan jag inte. Se senare bild.
Bubo skrev :Nej, (6-1) är inte lika med lg(5).
Det blir enbart 5
Då kan du relativt enkelt få ut vad 3^x är.
Kommer du i mål själv efter det?
Ja nu ser det bra ut. Men jag undrar ändå om du skulle kunna motivera denna likhet:
?
Nu börjar det likna något, men det går inte att se hur långt divisionstecknet är i detta uttryck. Är termen lg(5) med i täljaren eller inte? 
Jag vill fortfarande att du skriver ut fler mellansteg än vad du gör nu. I detta steg har du hoppat över ett viktigt mellansteg. Som du skriver nu riskerar du att göra enkla misstag:

Nej, det ser inte riktigt bra ut.
Det du har gjort från grönt till rött är inte riktigt. Ta ett steg i taget, så blir det nog bra.

Står det 3^x så ska x flyttas bakom allt och då blir det x * lg 3 och när det står multiplikation måste det adderas men då måste även 5 ha lg. Räkne reglerna säger ju så.
Päivi skrev :Står det 3^x så ska x flyttas bakom allt och då blir det x * lg 3 och när det står multiplikation måste det adderas men då måste även 5 ha lg. Räkne reglerna säger ju så.
Det jag undrar över är om du kan visa vilka regler du använder och hur du använder dem? Alltså steg för steg. Det är viktigt att du kan motivera det på det sättet, det kommer hjälpa dig enormt med att förstå hur man räknar på dessa problem.
(Sen antog jag bara att även stod i täljaren på divisionen när jag sa att det stämde).
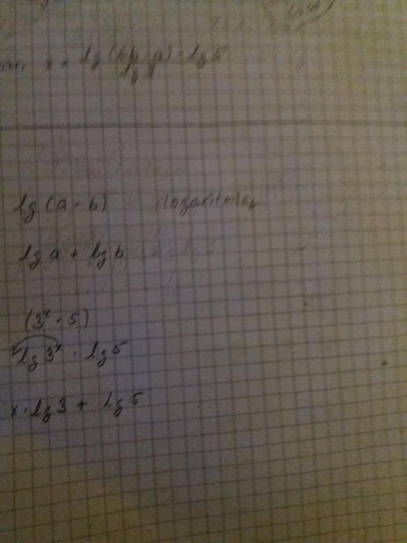
Det där stämmer, men det finns inte direkt någon enskild logaritmlag som tar dig från till . Utan det är två olika lagar som tar dig dit, jag undrar om du kan härleda denna likhet?
Ja det där är ena logaritmlagen. Men kan du skriva ut alla steg mellan tills du kommer till ?
Päivi skrev :
Det här är jättefel Päivi.
är inte alls lika med
Däremot är
Det här är också jättefel Päivi.
är inte alls lika med .
Däremot är .

Tack Yngve!
Du har något att läsa Yngve.
Man skulle alltså skriva det så här steg för steg
Använd logaritmlagen som säger att
Använd nu logaritmlagen som säger att
Så då har man visat steg för steg och vilken regel man använt.
Det är mycket möjligt att du tänker rätt.
Men du använder orden på ett sådant sätt att vi andra har svårt att förstå vad du menar. Om du dessutom får fel svar, så ser det ut som om du inte har begreppen och vägen till svaret riktigt klart för dig.
Päivi skrev :Står det 3^x så ska x flyttas bakom allt
Här förstår jag inte vad du menar. Du kanske menar att men skriv då det. Det finns inget räknesätt som heter "flytta bakom".
och när det står multiplikation måste det adderas men då måste även 5 ha lg. Räkne reglerna säger ju så.
Jag antar att du menar men du beskriver det i så fall inte på ett alldeles klart sätt.











