3 svar
108 visningar
offan123 behöver inte mer hjälp
offan123 3072
Postad: 6 mar 2023 18:08

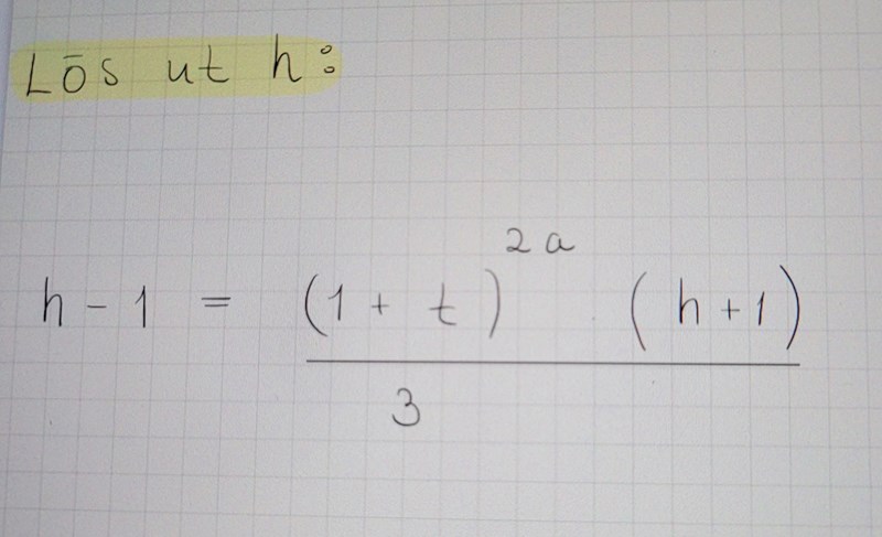
Lös ut h

Jag har lite problem att lösa ut h. Hur blir det när exponenten är upphöjt med 2a? Hur kan jag multiplicera in (h+1)?

Smaragdalena 78892 – Avstängd
Postad: 6 mar 2023 18:36
offan123 skrev:

Jag har lite problem att lösa ut h. Hur blir det när exponenten är upphöjt med 2a? Hur kan jag multiplicera in (h+1)?

Kalla hela det krångliga uttrycket (1+t)2a för g en stund. Lös ut h ur ekvationen h+1 = g(h+1)/3. Sätt tillbaka det krångliga uttrycket i stället för g.

offan123 3072
Postad: 6 mar 2023 19:22

Det blev mycket lättare att tillfälligt byta ut mot g. Tack för hjälpen!

Smaragdalena 78892 – Avstängd
Postad: 6 mar 2023 19:28

Det är Yngves knep, det är han som skall ha äran!

Det blev verkligen ett gräsligt fult uttryck.

Svara
Close