2
svar
86
visningar
Matteq behöver inte mer hjälp
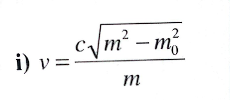
Lös ut v
Hej! Då sqrt(x^2) = |x| undrar jag varför mitt facit säger att |c| och |m| är istället endast c & m?


Om c är ljusfarten i vakuum och m är en massa så är båda positiva storheter, vilket betyder att |c| = c och |m| = m.
Yngve skrev:Om c är ljusfarten i vakuum och m är en massa så är båda positiva storheter, vilket betyder att |c| = c och |m| = m.
Det förutsätter att man vet det vilket inte framgår i uppgiften men nu vet jag. Tack