4
svar
48
visningar
offan123 behöver inte mer hjälp
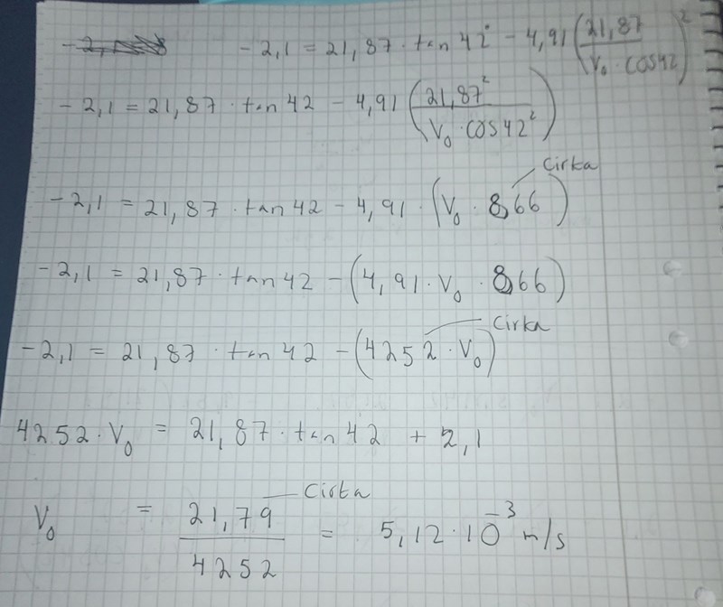
Lös ut V0
Tydligen ska V0 bli 14 m/s. Men jag får inte rätt svar. Hur kan jag göra istället?
På andra raden borde du ha v0 i kvadrat.
På nästa rad har v0 flyttat sig från under bråkstrecket.
Aa, jag misstänkte detta men trodde det inte gällde när det var faktorer inblandat (jag såg det som ett gemensamt värde).
Nu förstår jag. Tack
Förresten står inga enheter någonstans, så du vet inte om rätt enhet är m/s.
Om enheterna stod skulle man märka felen genom att man fick fel enhet på slutet.
Detta var en fysikuppgift egentligen men behövde hjälp att matematiskt få ut hastigheten.