Lös ut variabeln x
Hej!
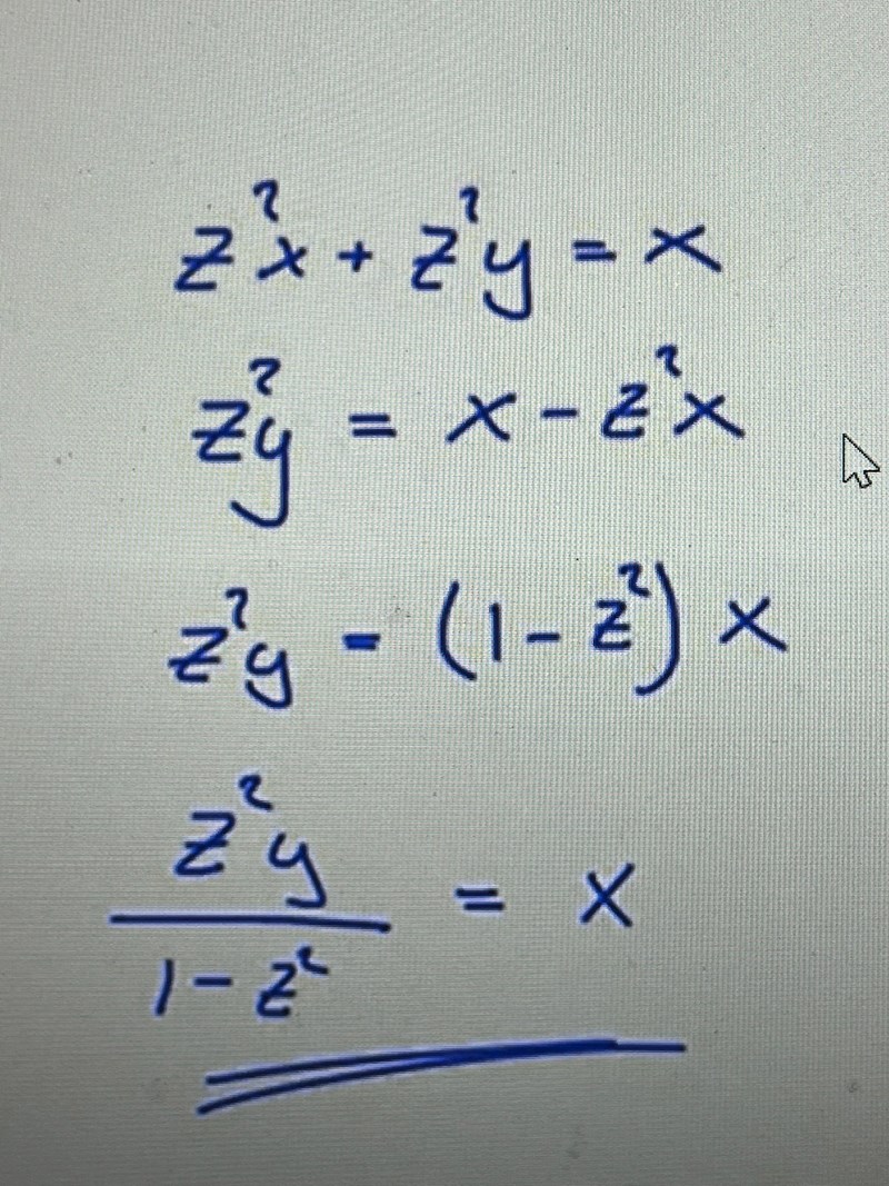
Jag har börjat på en fråga som ser ut så här (man ska alltså lösa ut x):

Och så här ser en lösning ut:

Jag undrar då varför man inte bara kunde ha behållit z2x + z2y = x? Då har man väll redan löst ut x, så varför behöver man fortsätta?
Tack på förhand!
Varifrån får du att högerledet ska vara 0?
Yngve skrev:Varifrån får du att högerledet ska vara 0?
Vad menar du?
karisma skrev:Jag undrar då varför man inte bara kunde ha behållit z2x + z2y = 0?
Det här. Varifrån får du nollan?
Yngve skrev:karisma skrev:Jag undrar då varför man inte bara kunde ha behållit z2x + z2y = 0?
Det här. Varifrån får du nollan?
Det ska stå x istället för 0, skrev fel!
OK då förstår jag din fråga.
Nej, du har då inte löst ut x eftersom det fortfarande finns ett x i vänsterledet.
Yngve skrev:OK då förstår jag din fråga.
Nej, du har då inte löst ut x eftersom det fortfarande finns ett x i vänsterledet.
Jaha, juste! Tack för hjälpen!