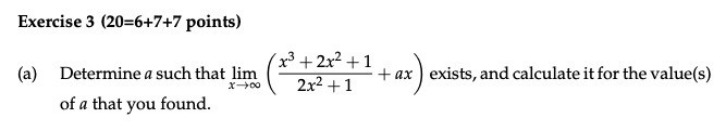
Lös variabel a när limit x-->infinity
Hej, jag behöver hjälp med att hitta vilket värde a ska vara i nedanstående problem.
Jag förlängde det så jag får:
)
Bra! Nu kan du dividera alla termer med den dominerande faktorn:
Vad blir kvar? :)
Vilket värde ska gränsvärdet bli? :)
Hur lyder frågan?
Vilket som ger ett ändligt gränsvärde?
Då får jag:
När ett värde delat på infinity så går talet emot 0 (?), så jag blir kvar med 2a (?).
Nedan är frågan:

Jag förstår inte riktigt hur jag ska tänka för att lösa värdet på a när jag inte har en limit = L
Hmmm, ja nej det blir ju inte bra. Ett annat förslag är istället detta: Förenkla uttrycket lite grann:
Nu kan vi genomföra polynomdivision på . Då borde vi få ett gränsvärde vi kan jobba med.
Du behöver egentligen inte veta vad a är från början. Det vi behöver fokusera på är att det inte får finnas någon faktor som innehåller x kvar när vi förenklat, eftersom värdet av uttrycket då kommer att gå mot någon oändlighet. :)
Jag kan inte lösa ut så jag får bort x, har testat med polynomdivision men x finns fortfarande kvar ... Några fler tips? :)
Vad får du från polynomdivisionen? :)
Jag får:
Skriv inte allt på samma bråkstreck, då är du tillbaka på ruta ett igen.
Så, vi har nu . När x går mot oändligheten kommer att gå mot noll. Vi behöver därför se till att termerna och tar ut varandra, så att de inte går mot någon oändlighet. Vilket a gör det? :)