Lösa algebraisk ekvation med nämnare
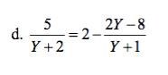
Vet inte vad jag gör för fel, försökt att multiplicera båda led med (y+2)(y+1) för att få bort nämnarna, men kommer aldrig fram till svaret y=(-3). 
Välkommen till Pluggakuten! Hur har du räknat? Det är svårt för oss att veta var det blir knasigt någonstans om vi inte vet hur du har räknat. :)
Har du multiplicerat även tvåan i HL med MGN? :)
Haha det borde jag haft med från början ja, här är en av uträkningarna jag försökt med:
Är verkligen helt lost
Det ser ut som en vanlig andragradsekvation.
När jag tänker på saken borde det inte ens bli det, så det är något fel.
Du behöver förlänga alla termer i båda led med , och sedan kan du förenkla. :)
Du behöver förlänga första termen med Y+1, tvåan med (Y+2)(Y+1) och sista termin med Y+2. Då får alla samma nämnare.