3
svar
98
visningar
beatan behöver inte mer hjälp
Lösa andragradsekvation
Hej,
Jag har försökt lösa denna flera gånger men kommer bara fram till fel svar..
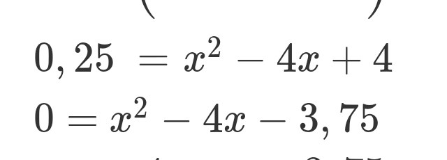
Såhär har jag gjort:
Tack!
beatan skrev:Hej,
Jag har försökt lösa denna flera gånger men kommer bara fram till fel svar..
Såhär har jag gjort:
Tack!
Här är felet:

beatan skrev:Hej,
Jag har försökt lösa denna flera gånger men kommer bara fram till fel svar..
Såhär har jag gjort:
Tack!
Titta på där du skriver Jag tror att det är där du gör fel och så blir svaret fel.
EDIT: Och precis som ynge skrev så ska det stå +3,75 inte -3,75
Annars kan du tänka så här:
1/"nånting" = 4
Då måste "nånting" vara lika med 0,25.
Eftersom "nånting" är lika med så måste det gälla att
Nu kan du dra roten ur bägge led och komma ihåg plusminus.