3
svar
102
visningar
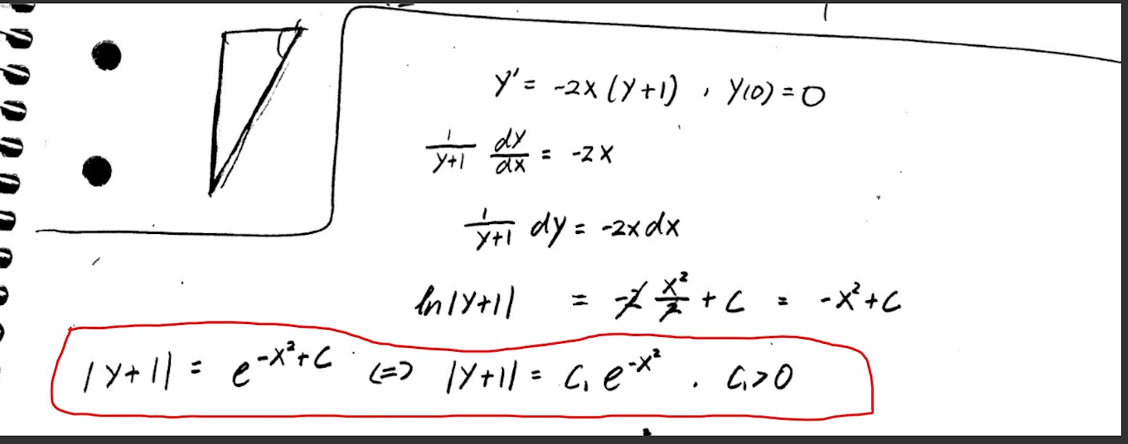
Lösa begynnelsevärdesproblemet (övningsdugga)

I detta steget:

Kan man delar upp abs(y+1) på den här sättet?

är alltid ett positivt tal.
är alltid ett icke-negativt tal.
Med andra ord är C1 ett icke-negativt tal.
Lösning nummer 2 borde kunna uteslutas.
Alternativt kan man se det som att absolutbeloppstecknen visade sig vara onödiga och de kan strykas.
SÅ y+1=Ce^(-x^2), där C>0. Stämmer det?
Det borde det göra. Pröva att sätta in din lösning i ursprungsekvationen för att kontrollera.