5
svar
111
visningar
Marcus N behöver inte mer hjälp
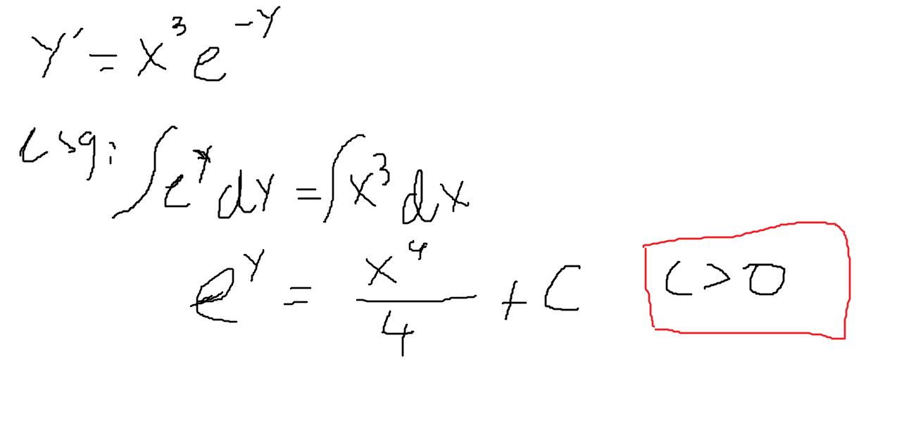
Lösa D.E

Varför måste konstanten C här större än noll?
Vad händer (för x = 0) om du logaritmerar båda sidor, om inte C > 0?
Står det att ekvationen ska gälla för alla x?
Laguna skrev:Står det att ekvationen ska gälla för alla x?
Det står bara C>0, så ja antar ekv. gäller för alla x.
Smaragdalena skrev:Vad händer (för x = 0) om du logaritmerar båda sidor, om inte C > 0?
Då får man y=ln(C), och om C<=0 då kommer ln(C) vara odefinierat, därför sätta vi C>0 eller hur?
Just så.