5
svar
280
visningar
Messi behöver inte mer hjälp
Lösa derivatans definition
Frågan är Bestäm f'(2) då f(x)=A/x^2 med hjälp av derivatans definition.
Jag stälde upp den såhär ( A/(2-h)^2) - (A/2^2)/h
Men får fel svar svaret ska bli -A/4
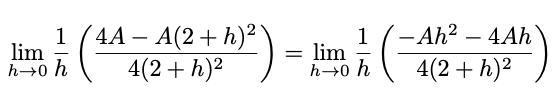
Differenskvotens täljare bör vara
Något smärre räknefel. JAg fick

osv.
dr_lund skrev:Något smärre räknefel. JAg fick
osv.
Hur fick du andra delen
Täljaren:
I andra delens täljare bryter du ut h och förkortar. Sedan är det klart!