12
svar
88
visningar
Lösa differential ekvationer av ordning 2

Jag är fastnat med denna uppgiften:


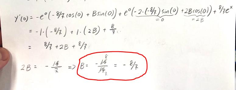
Genom att sätta in y(0)=0 fick ja A=-8/7.

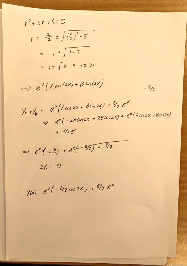
Rötterna till r2+2r+5 = 0 är -1 2i.
Laguna skrev:Rötterna till r2+2r+5 = 0 är -1 2i.
Så den homogen lösning är:
eller hur?
Har ja fått rätt på A och B som kostanter?
Varför antar du att y'' är 0? Det vet man inte. Derivera y så du får y' och räkna sedan ut A och B. A ser rätt ut.

Så här har jag bestämt konstanten B:

Stämmer detta?
Har jag rätt på B?
Partikulärlösningen är inte 8/7 ex.
Laguna skrev:Partikulärlösningen är inte 8/7 ex.

yp är e^x eller hur?
Det tror jag stämmer (räknar i huvudet just nu).
