2
svar
142
visningar
Lösa differentialekvation m.h.a. potensserie
Hej, jag skulle behöva lite hjälp med det här problemet. Jag har kommit fram till något men vet inte hur jag ska tolka det eller om det ens är rätt.
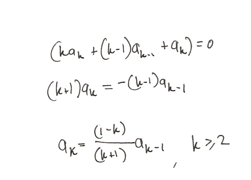
Här är frågan och vad jag har kommit fram till:

Jag tror jag upptäckte ett fel. I tredje raden efter insättning bör det väl vara (k-1) och inte (k+1) så då borde det bli som bilden under. Men jag är ändå inte säker på hur jag ska använda det för att lösa diff.ekvationen.
Testa skriva upp några termer och se om du kan jämföra med någon känd serie, så kan du ev få det som en vanlig funktion. Annars är det nog inte mycket kvar att göra.