Lösa ekvation



Jag är fastnat på den sista stegen i beräkningen. Kan någon hjälpa mig lösa ut x?

Du är nästan hemma! Multiplicera alla tre termer med nämnaren, samla ihop och förenkla.
Om du delar med 4 överallt får du tal som är lättare att hantera i huvudet.
Vilka tre termerna menade du?
Var någonstans kan jag delar alla tal med 4 och får enklare siffror?
Har jag gjort någon fel under min lösningen?
Multiplicera upp nämnaren. Då får du en tredjegradsekvation. Eftersom du redan vet en rot kan du dela med en linjär faktor och få en andragradsekvation.
Dessa tre.
Edit: Jag har inte kontrollräknat allt, men såg inga uppenbara fel.
Så man kan lösa ut x enligt:
(8-x)^2(x-4)=18
stämmer det?
Tror det, men bäst om du räknar det själv tycker jag. Du förstår vad vi menar med att multiplicera upp nämnaren?
Nästan,

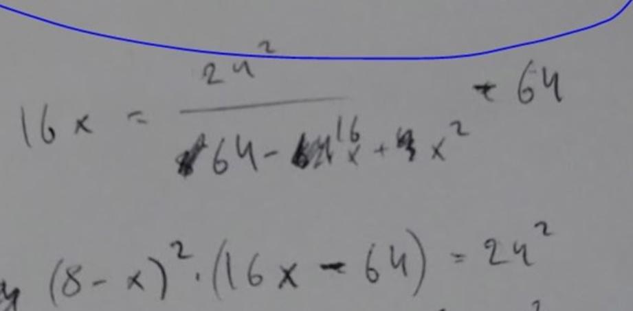
Egentligen är jag fortfarande lite oklart på hur ni har kommit till (8-x)^2(16x-64)=24^2.
Borde inte (24^2)/16 blir lika med 36??
Var fick ni 18 eller 9 ifrån?
Du har rätt. Men det är 9 som ger ett rimligt svar, så det måste vara fel i något annat led. Jag ser inte exakt var.
Edit: Felet är i mitt andra steg, där jag delar alla termer med 4, men glömde #2 (istället har jag förenklat bort en faktor 4). Ursäkta!
Ni har kommit fram till ekvationen
Dela med 64 på båda sidor
Multiplicera med f(x) på båda sidor, subtrahera från båda led
Eftersom kan vi lösa ut en faktor två (som när den lämnar parentesen kvadreras)
Nu delar vi båda sidor med 4
Jag tänkte också påpeka att det kan vara lättare att lösa ut basen istället för sidan
Vi har att
Omkrets:
Area:
Eftersom kommer termerna under rottecknet ta ut varandra och vi får (efter kvadrering och förenkling)
Eftersom vi vet att är en lösning kan vi dela ned ekvationen, den enda icke-falska roten som blir kvar är