1
svar
86
visningar
KittyKat behöver inte mer hjälp
Lösa ekvation 2

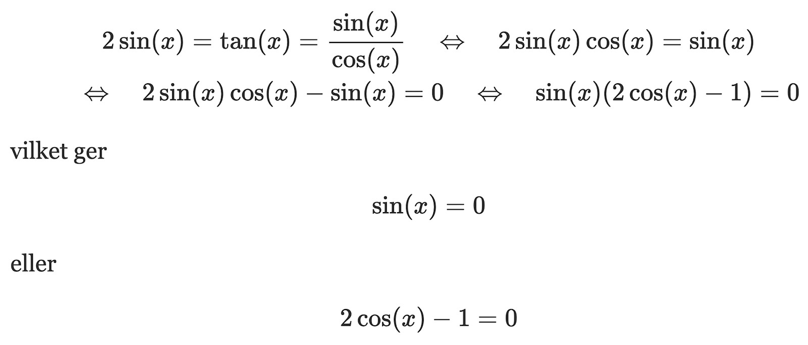
här fick jag igen 2 av 3 lösningar och förstår inte varför.
Därför du "dividerar bort" sin(x).
Gör så här istället:
