1
svar
63
visningar
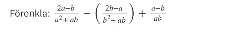
Lösa ekvationen.
Hur kan jag skriva om bråken så att de får samma nämnare?


Bryt ut a ur den första nämnaren och b ur den andra, så blir det enklare.