5 svar
120 visningar
Päivi 5547 – Avstängd
Postad: 10 sep 2017 16:16 Redigerad: 10 sep 2017 16:17

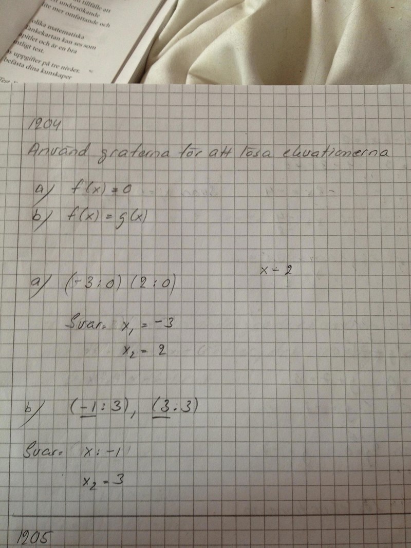
Lösa ekvationer från graferna.

Jag kommer inte riktigt ihåg det här. 

f(x)= ax^2 + bx+ c (formeln)

man skulle ta fram nollställen och sätta ihop. 

Ture 11067 – Livehjälpare
Postad: 10 sep 2017 16:22
Päivi skrev :

Jag kommer inte riktigt ihåg det här. 

f(x)= ax^2 + bx+ c (formeln)

man skulle ta fram nollställen och sätta ihop. 

Det är lättare än så.

Det står i uppgiften att du ska använda graferna för att lösa uppgiften.

För vilka värden på x är f(x) = 0? Titta i figuren.

På b uppgiften, för att funktionerna ska vara lika, vid vilka x-värden händer det? Ser du hur du ska få fram det ur figuren?

Smaragdalena 78892 – Avstängd
Postad: 10 sep 2017 16:24

Jag tror att det här är lättare än du tror.

a) Vid vilka x-värden skär den blå kurvan x-axeln?

b) Vid vilka x-värden skär den blå och den röda kurvan varandra?

Meningen med den här uppgiften är att du skall lära dig "se matematik".

Päivi 5547 – Avstängd
Postad: 10 sep 2017 16:29

Så har jag också uppfattat det Magdalena, men tankarna gick till nollställen helt plötsligt. 

Stokastisk 3597 – Fd. Medlem
Postad: 10 sep 2017 17:04

Ser ut som du har tänkt rätt.

 

Men notera att du skrivit (3; 3) istället för (3; -3) på b.

Päivi 5547 – Avstängd
Postad: 10 sep 2017 17:13

Den här uppgiften gjorde jag länge  sedan. Helt plötsligt kom jag på tänka den här nollställen. 

Jag tycker att matte är roligt. Jag borde gå handla nu. 

Svara
Close