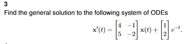
Lösa ett ODE, med två olika metoder



Jag har fått två olika svart, och det bör vara det samma för de två olika metoderna. Jag vet dock inte vad jag har gjort för fel.
Jag är litet rostig när det gäller denna typ av uppgifter och har inte följt dina räkningar. Men allmänt ges ju vanligen svaret till en diffekv på formen xH + xP där xP är någon av alla lösningarna. Så två lösningar kan vara helt korrekta även om xP är olika.
Ett väldigt banalt exempel är y’ = y som har lösningen y = Cex + 0.
Fast även y = Cex + 2ex är förstås en lösning.
Men hör är det väl den allmäna lösningen som efterfrågas? General.
Jo absolut.
Den allmänna lösningen är:
Alla lösningar till den homogena ekvationen PLUS en partikulärlösning till den givna ekvationen.
Jag kom på en bättre analogi. Beskriv alla udda tal med ett algebraiskt uttryck:
Lösn: Låt N vara ett heltal, dvs N = …, –3, –2, –1, 0, 1, 2, 3, …
Alla jämna tal ges av uttrycket 2N.
Då får du alla udda tal med uttrycket 2N+1.
Här är 2N motsvarigheten till ”homogen lösning” och ”1” en partikulärlösning.
Men du kan välja vilket udda tal som helst som partikulärlösning,
2N+7 eller 2N+13 eller 2N–2025; alla tre uttrycken betecknar alla udda tal.
En annan analogi: På gamla vägar fanns det ibland milstenar. De stod med en mils mellanrum. Nuförtiden är de ofta övervuxna och syns inte. Men har du hittat en så vet du var de övriga är; de ligger N mil från den du hittat.
Det spelar ingen roll vilken ”partikulärsten” du hittar först, de övrigas position är givna av ”homogenvillkoret” en mil.
Marilyn skrev:Jag är litet rostig när det gäller denna typ av uppgifter och har inte följt dina räkningar. Men allmänt ges ju vanligen svaret till en diffekv på formen xH + xP där xP är någon av alla lösningarna. Så två lösningar kan vara helt korrekta även om xP är olika.
Ett väldigt banalt exempel är y’ = y som har lösningen y = Cex + 0.
Fast även y = Cex + 2ex är förstås en lösning.
Det stämmer att jag ska ge svaret med både homogena och partikulära. Problemet är att det är två olika metoder jag har använt för att lösa problem, och enligt den information vi har fått bör vi komma fram till samma svar med båda metoderna. Den andra metoden "variation av parametrar", tror jag är korrekt. Men den första metoden "gissning", uppstår ett problem. Vad ska jag gissa? Jag har prövat Ingen av dessa tre ger något annat än eller liknande, vilket inte stämmer.