2
svar
116
visningar
djungelskog behöver inte mer hjälp
Lösa exponentialekvation
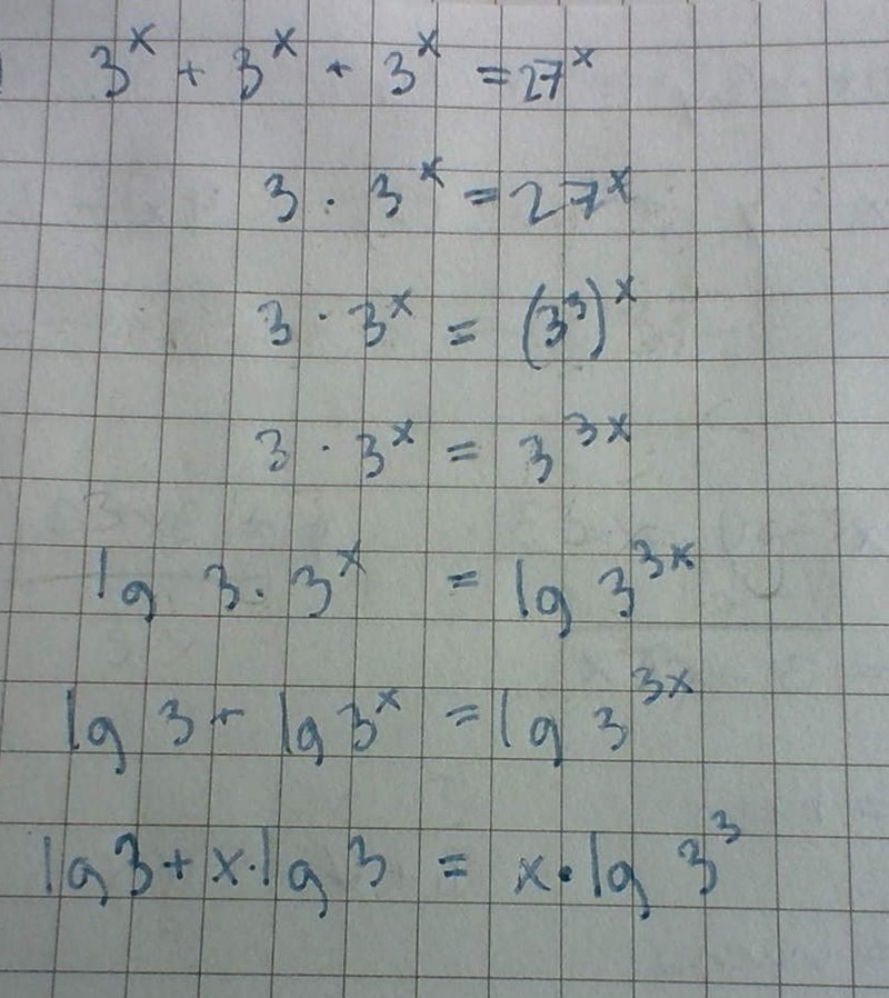
Uppgiften är att jag ska lösa ekvationen
Jag börjar så här

men nu vet jag inte hur jag ska fortsätta, och jag misstänker att jag har gjort fel någonstans eftersom jag inte ser något sätt att få ut x ensamt?
Använd en potenslag på 3*3x.
Då blev det mycket lättare, tack